
Полная версия
Домашнее винокурение и производство спиртных напитков
2) Разведение высокопроцентного спирта низкопроцентным спиртом
Расчет соотношения составных частей производится по формуле:

Принятые обозначения:
V сп. низ – объем добавляемого раствора с низким содержанием спирта, л;
Vсп. выс – имеющийся объем крепкого спирта, л;
М выс – крепость высокопроцентного спирта, % об;
М зд – заданная крепость раствора после разведения, % об;
М низ – содержание спирта в низкопроцентном растворе, % об;
Объем полученной смеси V см, л, определится, как:V см = V сп. выс +V сп. низ.
Если же задан суммарный объем смеси V см, то количество требуемого крепкого спирта определится по формуле:

Объем добавляемого слабого спирта определится, как: Vсп. низ =Vсм – Vсп. выс.
Обозначения те же, что и в формуле 9.
3) Укрепление спирта
При известном объеме спирта низкой крепости, требующего укрепления, расчет объема добавляемого крепкого спирта выполняется по формуле:

При заданном суммарном объеме укрепленной смеси необходимое количество крепкого спирта определится по формуле 10. Объем укрепляемого слабого спирта определится, как: Vсп. низ =Vсм – Vсп. выс.
Обозначения те же, что и в формуле 9.
1.2.5. Расчет сжатия водно-спиртовых растворов
Любители сжатие обычно не учитывают. Формула 12 дана для полноты изложения материалов по спиртометрии. Сжатие водно-спиртовых смесей рассчитывается здесь по условию, что в качестве исходных составляющих взяты абсолютный спирт и вода.

Принятые обозначения в формуле 12:
Сж – сжатие раствора, литров на 100 литров ингредиентов. Эта величина показывает, сколько дополнительно потребуется воды, если смешать абсолютный спирт, взятый в объеме V литров, и воду, взятую в объеме равном (100 – V) литров, чтобы после этого реальный объем раствора стал равен 100 л.
М – содержание спирта в полученном водно-спиртовом растворе, % об;
d(P) – плотность полученного водно-спиртового раствора, г/мл;
d(A) – плотность абсолютного спирта; при 20 °С она равна 0,78934 г/мл;
d(W) – плотность воды; при 20 °С она равна 0,99823 г/мл.
Расчет сжатия рассмотрим на примере.
Пример 1 – 3. Необходимо получить 35 литров водно-спиртовой смеси с содержанием спирта 48 % об. Имеется спирт крепостью 80 % об. Рассчитать количество требуемых ингредиентов и величину сжатия.
Решение. 1) Сначала определим по формуле 8 необходимое количество крепкого спирта, подставив в нее наши числа: Vсп. выс= 35 × 48 : 80 = 21 л.
Для получения смеси крепостью 48 % об потребуется, кроме того, 35 – 21 = 14 л воды теоретически, то есть без учета сжатия.
2) Вычислим по формуле 12 сжатие смеси для 21 л спирта крепостью 80 % об. Плотность спирта 80 % об равна 0,85930 г/мл. В расчете на 100 л сжатие равно:

Но у нас не 100 л спирта, а 21л. Для 21 л сжатие равно 2,8232 × 21 : 100 = 0,5929 л.
3) Далее вычислим по формуле 12 сжатие для 35 л смеси крепостью 48 % об
Плотность указанной смеси равна 0,93402 г/мл. В расчете на 100 л сжатие равно:

Для 35 л смеси сжатие соответственно равно: 3,6121 × 35 : 100 = 1,2642 л.
4) Спирт крепостью 80 % об в объеме 21 л уже имеет в своем составе воду для компенсации сжатия в количестве 0,5929 л. Но для 35 л смеси крепостью 48 % об сжатие равно 1,2642 л. Остается добавить в смесь разницу до нужного объема:
1,2642 – 0,5929 = 0,6713 л, или округленно 0,67 литра.
Таким образом, для получения 35 л смеси крепостью 48 % об нужно взять 21 л спирта крепостью 80 % об, 14 л воды теоретически и 0,67 л добавочной воды для компенсации сжатия спирта при его разбавлении от 80 до 48 % об. Всего требуется 21 л спирта крепостью 80 % об и 14,67 л воды.
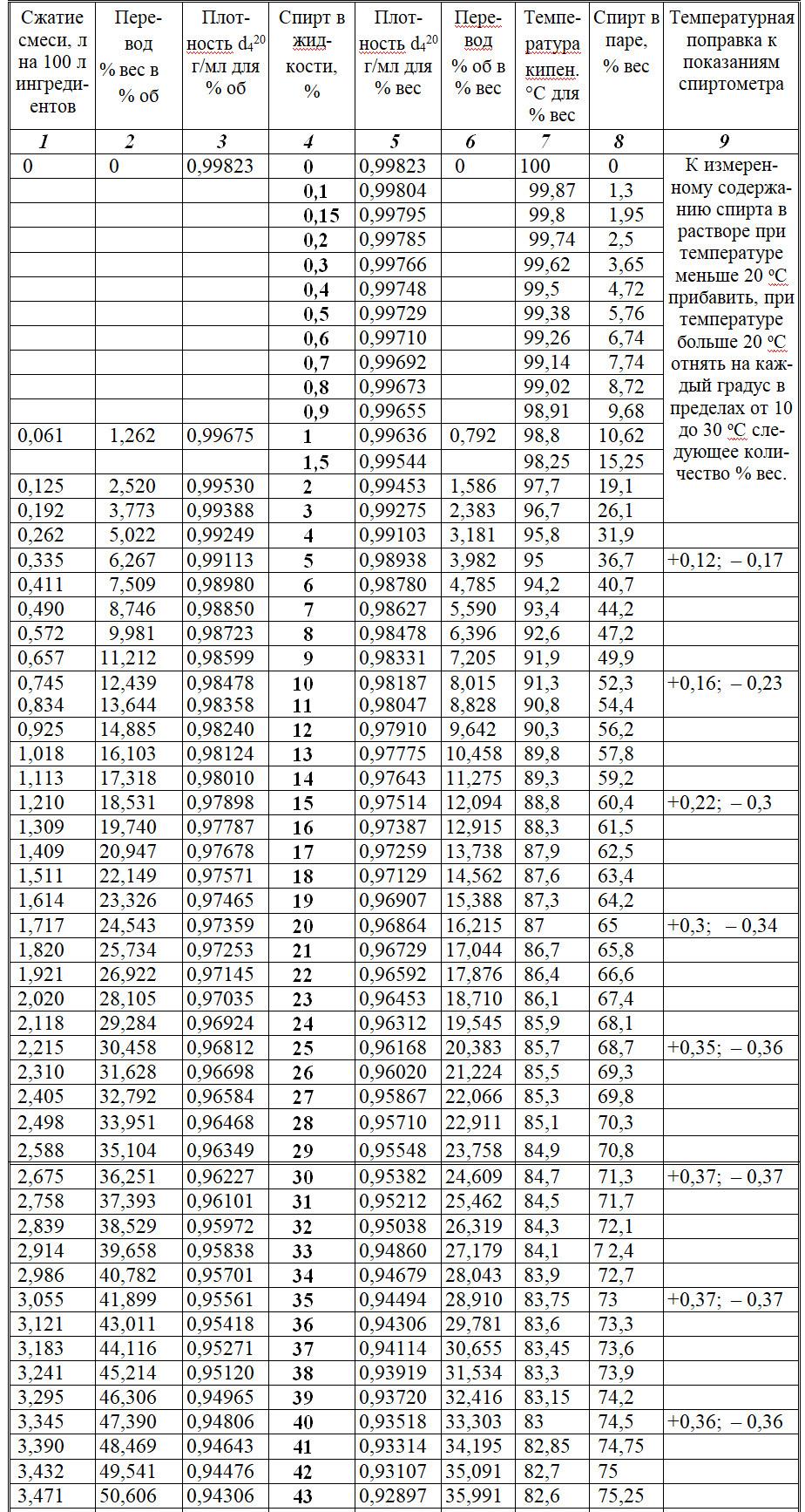
Как видим, расчет сжатия смесей довольно громоздкий. Чтобы дать представление о количественной стороне этого явления, в столбце 1 таблицы 1 – 2 приведено сжатие при получении 100 л реального объема водно-спиртовых смесей различной крепости.
1.2.6. Контроль процесса перегонки по температуре пара
Существует зависимость между температурой насыщенного водно-спиртового пара и содержанием в нем спирта (таблица 1 – 2, столбцы 7 и 8). Эту зависимость можно использовать для оперативного контроля процесса перегонки без измерения плотности образующегося отгона. Термометр желательно установить вблизи входа пара в спиртовую трубку. К сожалению, такой способ контроля, не очень надежен. Это связано с тем, что температура кипения жидкости, а значит и температура образующего пара, зависит от атмосферного давления. А так как атмосферное давление не остается постоянным, то вслед за ним будет меняться и температура кипения жидкости. Оценить указанную зависимость температуры кипения от атмосферного давления (и связанную с этим погрешность измерения содержания спирта) можно по следующим данным.
Так, температура кипения низкопроцентных водно-спиртовых растворов понижается на 1 °С при снижении атмосферного давления примерно на 22 мм рт. ст., то есть понижается на 0,45 °С при снижении давления на 10 мм рт. ст.
Температура кипения водно-спиртовых растворов, содержащих спирт в количестве порядка 40 % вес, понижается на 1 °С ниже табличного значения при понижении атмосферного давления на 25 мм рт. ст., или на 0,4 °С на каждые 10 мм рт. ст. [2].
Барометры есть не у всех, величину атмосферного давления мы знаем приближенно из сводки погоды, поэтому следует переходить на измерение содержания спирта ареометром, как только температура пара станет приближаться к нужному значению.
1.3. Материалы для изготовления спирта и напитков
1.3.1. Сахаросодержащие продукты
1) Ягоды и фрукты. Можно сказать, что эти ценные продукты на спирт как таковой не перерабатывают. Содержание сахара в ягодах и фруктах, кроме винограда, сравнительно небольшое (см. табл. 1 – 3). Выход спирта соответственно был бы малым, а цена его – высокой. Тем не менее в краях с теплым климатом, где фрукты и ягоды дешевле, чем у нас, их, помимо обычного потребления и выработки вина, в значительной мере используют также для производства водок. Общее название таких водок, в том числе виноградных – бренди. Но есть напитки со своим названием: сливовица – сливовая водка, киршвассер – вишневая водка, кальвадос – водка из яблок, и другие.
2) Сахарная свекла. Сахарная свекла является основным сырьем для производства сахара. В свекле содержится 12 – 20 % сахарозы. Казалось бы, для получения самогона ничего лучше не придумать, чем выращивать свеклу у себя в огороде. Однако процесс извлечения сахара из свеклы на практике довольно сложен, о чем мы скажем ниже.
3) Сахар-сырец и меласса. На спиртзаводах, построенных в районах выращивания сахарной свеклы, в качестве сырья для получения спирта широко используют мелассу. Она представляет собой сироп, в котором содержится около 50 % сахара и большое количество примесей и, в сущности, относится к отходам сахарного производства. На выработку спирта также пускают сахар-сырец, то есть нерафинированный сахар.
1.3.2. Крахмалосодержащие продукты
Любые крахмалосодержащие растения можно переработать на спирт. Крахмал содержится в семенах, клубнях или корнях таких растений. Наиболее употребительны зерновые культуры и картофель.
1) Зерновые культуры. Пшеница и рожь издавна шли у нас на получение водок. Лучшие сорта водок изготавливают именно из этих злаков. В зерне пшеницы в зависимости от сорта может содержаться от 60 % до 70% крахмала, в зерне ржи – до 55 %.
Кукуруза содержит порядка 70 – 72 % крахмала. В смеси с другим зерновыми культурами она широко используется, например, для производства виски в США.
В Китае, Японии и других странах, где выращивают рис, он широко используется для выработки местных водок (например, саке – японский национальный напиток).
В пивоварении особое место занимает ячмень.
Для выработки спирта по старинной технологии, применяемой также в домашнем винокурении, берут не само зерно, а муку мелкого помола. Немолотое зерно используют только для выращивания солода.
Таблица 1 – 2
Свойства водно-спиртовых растворов при атм. давлении 760 мм рт. ст.


2) Картофель. Исходя из содержания крахмала в клубнях (до 20 %) и сбора урожая с гектара, в наших климатических условиях картофель является самым дешевым пищевым сырьем для получения спирта. Однако как материал для водок картофельный спирт уступает хлебному, который высоко ценится наряду с коньячным спиртом. Именно из хлебного спирта изготавливают лучшие сорта водок, в том числе виски. Кроме того, на простых перегонных аппаратах (а других аппаратов у любителей и не встречается) картофельный спирт трудно поддается очистке от примесей.
1.3.3. Солод
Само слово солод древнее: солодкий значит сладкий, солодить – делать сладким.
Обычно на выращивание солода на спиртзаводах употребляют ячмень, рожь, просо и реже пшеницу. При этом рожь и пшеницу рекомендуют смешивать с ячменем. Но в домашних условиях именно пшеница и рожь могут оказаться предпочтительнее, так как они быстрее прорастают и их легче размельчить после проращивания.
Для приготовления солода надо брать зерно очень высокого качества, его всхожесть должна быть не менее 90 – 92 % (подсчитывается на пятый день пробного проращивания). Протравленное зерно употреблять на эти цели не следует.
Солод можно готовить по следующей схеме.
1) Промывка зерна. Цель – очистка зерна от грязи и половы. Промывку производят в подходящей емкости – в ведре, кастрюле, баке. Зерно заливают водой комнатной температуры и перемешивают. Всплывшую полову удаляют, воду осторожно сливают. Операцию повторяют 2 – 3 раза.
2) Замочка. Цель – увлажнение зерна. В сущности, замочка является продолжением промывки и ведется в той же емкости. Во время замочки зерно должно быть полностью покрыто слоем воды. Общее время промывки и замочки зерна не должно превышать получаса. При более длительном нахождении в воде зерно может потерять всхожесть. После замочки воду сливают, а зерно укладывают на проращивание.
3) Проращивание. На спиртзаводах, где используется солод, его проращивание производят на ровных площадках с твердым покрытием, имеющих небольшой уклон для стока излишков воды. Перед укладкой зерна производится очистка, дезинфекция и промывка площадок.
Зерно укладывают слоем около 30 см. С началом процесса прорастания зерно начинает «дышать», то есть поглощать кислород. В нем происходят биологические изменения, при которых выделяется тепло. Чтобы не произошел перегрев зерна, после появления у него корешков толщину слоя уменьшают до 10 см.
Раза два-три в день зерно поливают водой, а чтобы оно не высыхало, его накрывают мокрыми полотенцами. При прорастании зерно периодически перемешивают, переворачивают деревянными лопатами, размельчают сросшиеся куски. Это также ведет к снижению температуры внутри слоя зерна.
Пшеница и рожь прорастают быстрее ячменя, поэтому в случае приготовления солода из смеси культур сначала проращивают один ячмень, а через 3 – 4 дня к нему подмешивают другую культуру. Перед смешиванием производят промывку и замочку добавляемого зерна.
Еще один вариант – выращивание сросшегося солода. Операции все те же самые, только проращиваемое зерно меньше ворошат и, таким образом, дают ему срастись. Слой зерна время от времени переворачивают, чтобы низ стал верхом, и продолжают проращивание. Преимущество этого варианта – уменьшение трудозатрат на ворошение. Однако здесь требуется более тщательный контроль температуры зерна.
Солод считается готовым, когда длина корешков большей части зерен станет примерно вдвое больше длины зерна, а длина зеленых ростков почти сравняется с длиной зерна. На это уходит от 4 до 10 дней в зависимости от условий проращивания, а также от вида культуры. Если готовый, достигший нужной кондиции солод не использовать, то в нем будут продолжаться процессы роста, и спустя несколько дней солод просто потеряет свои свойства осахаривать крахмал. Поэтому его без задержки пускают на производство спирта, либо высушивают горячим воздухом или дымовыми газами для последующего хранения.
Только что выращенный солод имеет название зеленый солод по зеленому цвету ростков. Хороший зеленый солод, выращенный из пшеничного зерна, пахнет свежим огурцом. Из 1 кг зерна получается примерно 1,4 кг зеленого солода. Схема выращивания малых количеств солода принципиально не отличается от приведенной выше.
В зерне при его проращивании образуются биологически активные вещества – ферменты, способные осахаривать крахмал. Но так как они находятся под оболочкой зерна, то солод перед употреблением необходимо размолоть. Для размола малых количеств зеленого солода в домашних условиях можно использовать обычную мясорубку. Зеленый солод перед размалыванием тщательно промывают для удаления микрофлоры. Размолотый зеленый солод сразу же используют для осахаривания крахмала.
Для размалывания большого количества зеленого солода, а также для размалывания сушеного солода потребуется мельница. Иногда для производства спирта зерно размалывают на муку вместе с сушеным солодом, добавляемым в нужных пропорциях, однако здесь возникает противоречие: мука должна быть тонкого помола, а солод размалывать слишком тонко не рекомендуется.
При определении требуемого количества солода любителю следует, очевидно, руководствоваться нормами, принятыми старыми мастерами. В [1] есть указание по соотношению солода к несоложеному зерну в пределах от 1 : 3 до 1 : 7 по весу, а к картофелю от 1 : 10 до 1 : 15 по весу.
Во всех случаях имеется в виду вес сухого зерна, пошедшего на приготовление зеленого солода, а не вес готового солода, полученного из этого зерна.
В проведенных мной опытах хорошее осахаривание было получено при соотношении зеленого солода, выращенного из пшеницы, к пшеничной муке, равном 1 : 4. При уменьшении количества солода результаты осахаривания были хуже.
На спиртзаводах для осахаривания крахмала вместо солода применяют также особые плесневые грибки. Этот способ для любителей из-за его сложности не подходит.
1.3.4. Дрожжи
Существует несколько видов микроорганизмов, разлагающих сахар на спирт и углекислый газ. Для наших целей применяются одноклеточные грибы – дрожжи. Путем отбора из природных так называемых диких дрожжей были выведены культурные расы дрожжей. Все они относятся к роду сахаромицетов. Каждую из этих рас используют по ее «узкой специализации» для изготовления того или другого сорта вина, пива, в спиртовом и хлебопекарном производстве. Так, дрожжи Saccharomyces cerevisiae (читается: сахаромицес церевизие) различных рас используют в спиртовом, дрожжевом производстве и отчасти в пивоварении. Они накапливают спирт до концентрации 13 % об. Применяемые в промышленном виноделии дрожжи Saccharomyces vini (сахаромицес вини) способны сбраживать сахар до накопления спирта 16 % об.
У диких дрожжей эта способность гораздо меньше, они сбраживают сахар лишь до концентрации спирта в растворе около 7 % об [4]. Возможно, эта цифра занижена.
Культурные расы дрожжей по принятой у нас технологии выращивают в специальных лабораториях, откуда их передают на производство в стерильных пробирках.
На заводах эти дрожжи размножают путем многократного пересева и пускают в дело. Затем в процессе сбраживания сусла часть его отбирают, чтобы использовать как закваску для следующей партии сусла. Это так называемое ведение дрожжей.
Не считая природных диких дрожжей, любителям доступны лишь хлебопекарные прессованные дрожжи. Их обычно и применяют для самогона. Предпочтительно брать свежие дрожжи, которые не замораживались в процессе хранения. Они должны легко разламываться, иметь приятный запах, свойственный дрожжам, без каких-либо нехарактерных оттенков и затхлости. Цвет их светло-серый, влажность около 75 %.
Виноделы-любители в своей практике используют чаще всего природные дикие дрожжи, которые всегда присутствуют на кожице плодов и ягод. По своему опыту могу рекомендовать для сбраживания фруктово-ягодного сусла также и прессованные дрожжи. В этом случае можно гарантированно получить наброд спирта до 13 % об.
Для ориентации читателя ниже указано примерное количество прессованных хлебопекарных дрожжей, требуемое для сбраживания различных продуктов.
Мука и зерно на солод, вместе взятые – на 100 кг продуктов 1 кг дрожжей.
Картофель и зерно на солод, вместе взятые – на 100 кг продуктов 500 г дрожжей.
Сахар – на 100 кг сахара 8 кг дрожжей (вариант сбраживания сахара без добавления минеральных питательных веществ для подкормки дрожжей).
Измельченные фрукты и ягоды (мезга) или отжатый фруктовый сок с добавкой сахара – на 100 л мезги или подготовленного сусла от 1 до 2 кг прессованных дрожжей.
Можно применять также сухие дрожжи с влажностью 7,5 – 9 %. По сравнению с прессованными их понадобится меньшее количество. Но их качество требует проверки.
При отсутствии хлебопекарных дрожжей можно приготовить разводку диких дрожжей. Приведем два способа приготовления разводки дрожжей.
Способ летний. Собрать три-четыре стакана зрелых неповрежденных ягод, имеющихся на данный момент – смесь малины, смородины и других. Ягоды очистить, но не мыть, а затем размять. На каждый стакан размятых ягод добавить стакан кипяченой воды и две полных с «верхом» столовых ложки сахара. Сахар можно предварительно растворить в добавляемой воде. Желательно добавить в полученную смесь (ягодное сусло) подкормку для дрожжей в количестве 0,2 – 0,3 г двухзамещенного фосфорнокислого аммония или хлористого аммония в расчете на 1 л сусла.
Затем это ягодное сусло следует поместить в сосуд с гидрозатвором, где должно остаться место для образующейся пены, и поставить в теплое место на несколько дней. В сусле за это время разовьется брожение, это и будет готовая дрожжевая разводка (ее другое название – закваска). Такую разводку можно использовать для изготовления плодово-ягодных вин. Полученной разводки диких дрожжей хватит на сбраживание двадцатикратного количества плодово-ягодного сусла. Хотя на ягодах и фруктах есть дрожжи, применение разводки улучшит процесс брожения.
Но можно продолжить размножение дрожжей. Для этого следует взять 5 кг любых спелых ягод, отобрать порченые, на этот раз помыть, затем размять и смешать их с 5 л воды и 1,5 кг сахара. Желательно внести в сусло минеральную подкормку для дрожжей, как указано выше. Затем следует прокипятить и охладить сусло, после чего добавить в него полученную ранее разводку дрожжей и сбраживать эту смесь в сосуде с гидрозатвором. Через несколько дней, когда в этом увеличенном объеме разовьется бурное брожение, можно считать разводку готовой. Полученной в таком количестве дрожжевой разводки достаточно для сбраживания до 100 л плодово-ягодного сусла или 12 % -го сахарного сиропа. Пастеризация этого сусла (сиропа) не требуется.
Сбраживание сахарного сиропа несколько отличается от сбраживания плодово-ягодного сусла. Так, по [12], при сбраживании сахара следует вносить подкормку для дрожжей в количестве 7,5 г карбамида (мочевины) и 2,5 г ортофосфорной кислоты или диаммонийфосфата на килограмм сахара. А если при этом сбраживание сахара вести прессованными дрожжами, то добавка минералов позволит уменьшить расход дрожжей по сравнению с указанным выше примерно в два раза (до 4 кг на 100 кг сахара).
Способ зимний. Два стакана немытого изюма без косточек пропустить через мясорубку, залить его 0,7 л прокипяченного и охлажденного сахарного сиропа, имеющего концентрацию сахара 120 г/л, и поставить в теплое место на брожение с гидрозатвором.
Отдельно приготовить хлебное сусло из 1 кг (по зерну) зеленого солода и 2 кг муки в соотношении с водой примерно 1 : 3. То есть, на каждый килограмм смеси муки и солода следует добавить 3 л воды. Приготовление хлебного сусла изложено ниже, смотри раздел 1.6. Бродящую закваску изюма влить в сусло с температурой 25 – 30 °С, перемешать. За 2 – 4 дня в сусле разовьется сильное брожение. Это бродящее сусло и есть дрожжевая закваска. Такого количества закваски достаточно для сбраживания не менее 50 л сахарного сиропа с концентрацией сахара 12 %.
Если закваска на хлебном сусле приготавливается специально для сбраживания сахара, то можно даже несколько увеличить в ней количество солода и муки, так как в этих продуктах содержатся вещества, необходимые для питания дрожжей. В самом сахаре они отсутствуют. Можно добавить и минеральную подкормку для дрожжей.
Повторим: и по летнему, и по зимнему способу будет получена разводка диких дрожжей, имеющих слабую сбраживающую способность, поэтому концентрация сахара в сбраживаемом соке (сусле) или сахарном сиропе не должна превышать 120 г/л.
Что касается крахмала, то для расчета концентрации сусла упрощенно можно принять его содержание в зерне равным 60 %, в картофеле 17 %, и при этом считать, что крахмал превращается в сахар в весовом соотношении 1 : 1. Таким образом, в 10 кг муки и солода будет содержаться около 6 кг крахмала, которые превратятся в 6 кг сахара. А добавив воду до общего объема 50 л, из 10 кг муки и солода вместе взятых получим 50 л сусла с концентрацией сахара 12 %, то есть такой, которая подходит для сбраживания разводкой диких дрожжей. Дрожжевой закваски, приготовленной в указанном выше количестве по зимнему способу, как раз и должно хватить на сбраживание этих 50 л хлебного сусла. Указанного количества закваски диких дрожжей достаточно также для сбраживания 35 кг картофеля, из которого следует приготовить сусло в объеме не менее 50 л, чтобы после осахаривания крахмала концентрация сахара в сусле не превышала тех же 12 %.
Кроме приведенных выше, существует еще великое множество народных рецептов получения дрожжей. Например, в сахарный сироп кладут немытый рис, немытое пшено или зерно пшеницы, и т. д. Заметим, что в этом случае используются дрожжи, которые поселились на поверхности зерен, а из крахмала, содержащегося в зерне, спирт получен не будет, и зерно просто будет выброшено без всякой пользы. Лучше уж как источник дрожжей взять воду, в которой промывали пшено или рис перед тем, как варить кашу.
Во всех рассмотренных случаях речь идет о диких дрожжах, имеющих ограничения по сбраживающей способности. И прежде чем применять дикие дрожжи для сбраживания большого количества сырья, их надо проверить на малом объеме сусла.
Способами, которые были описаны для получения разводки диких дрожжей, в принципе, можно воспользоваться и для размножения хлебопекарных прессованных дрожжей, а также сухих дрожжей, если в распоряжении любителя окажется лишь малое их количество. В этом случае уже самое первое сусло надо стерилизовать.
За рубежом в виноделии применяют активные сухие дрожжи (АСД) в виде порошка или гранул в герметической упаковке. Считается, что их применение удобнее, чем практикуемое у нас сбраживание разводкой чистой культуры дрожжей. В институте виноделия «Магарач» в свое время провели испытания АСД. В опытных белых винах было получено, в частности, более высокое содержание глицерина и, кроме того, меньше альдегидов и высших спиртов по сравнению с контрольными винами [3].




