
Полная версия
Все науки. №10, 2024. Международный научный журнал

Все науки. №10, 2024
Международный научный журнал
Авторы: Алиев Ибратжон Хатамович, Отажонов Салим Мадрахимович, L. Garrido-Gómeza, J. P. Fernández-Garcíaa, A. Vegas-Díaza, B. Fernándeza, F. J. Ferrera, D. Lopez-Airesc, Билалов Иномжон Уктамович, Иброхимов Фарходжон Анваржонович, Sabriddinova Kibriyo, Хусанов Жамолиддин, Berkinov Oybek Tohir o‘g‘li, Yuldoshev Avazbek Abdurashid o‘g‘li, Норбоева Дилноза Oрзиқуловна
Главный редактор. Директор НИИ "ФРЯР" Ибратжон Хатамович Алиев
Научный директор Боходир Хошимович Каримов
Технический директор Султонали Мукарамович Абдурахмонов
Экономический директор Ботирали Рустамович Жалолов
Редактор Миродилжон Хомуджонович Баратов
Редактор Гулчехра Ғуламжановна Ғаффарова
Иллюстратор Ибратжон Хатамович Алиев
Иллюстратор Фарходжон Анваржонович Иброхимов
Дизайнер обложки Раънохон Мукарамовна Алиева
Корректор Гулноза Мухтаровна Собирова
Корректор Дилноза Орзиқуловна Норбоева
Модератор Фарходжон Анваржонович Иброхимов
© Ибратжон Хатамович Алиев, 2024
© Салим Мадрахимович Отажонов, 2024
© L. Garrido-Gómeza, 2024
© J. P. Fernández-Garcíaa, 2024
© A. Vegas-Díaza, 2024
© B. Fernándeza, 2024
© F. J. Ferrera, 2024
© D. Lopez-Airesc, 2024
© Иномжон Уктамович Билалов, 2024
© Фарходжон Анваржонович Иброхимов, 2024
© Kibriyo Sabriddinova, 2024
© Жамолиддин Хусанов, 2024
© Oybek Tohir o‘g‘li Berkinov, 2024
© Avazbek Abdurashid o‘g‘li Yuldoshev, 2024
© Дилноза Oрзиқуловна Норбоева, 2024
© Ибратжон Хатамович Алиев, иллюстрации, 2024
© Фарходжон Анваржонович Иброхимов, иллюстрации, 2024
© Раънохон Мукарамовна Алиева, дизайн обложки, 2024
ISBN 978-5-0065-1875-9 (т. 10)
ISBN 978-5-0065-0531-5
Создано в интеллектуальной издательской системе Ridero
ФИЗИКО-МАТЕМАТИЧЕСКИЕ НАУКИ
О ВЫВЕДЕНИИ УРАВНЕНИЯ ЭЛЕКТРОПРОВОДНОСТИ И МАТЕМАТИЧЕСКОГО МОДЕЛИРОВАНИЯ ПОЛУПРОВОДНИКОВОГО ЭЛЕМЕНТА НА ОСНОВЕ ТЕЛЛУРИДА КАДМИЯ, ОКСИДА КРЕМНИЯ И КРИСТАЛЛИЧЕСКОГО КРЕМНИЯ
УДК: 519.712 / 53.023
Отажонов Салим Мадрахимович1, Алиев Ибратжон Хатамович2
1Ферганский государственный университет, 150100, Республика Узбекистан, Ферганская обл., г. Фергана, 2НИИ «ФРЯР», 151100, Республика Узбекистан, Ферганская обл., г. Фергана
Аннотация. В статье представлено исследование по выведению общего динамического уравнения электропроводности с учётом дополнительных внешних факторов с созданием различного стороннего поля. Также представлен наглядный пример на основе полупроводников CdTe и Si, организующие единый элемент. Для вывода соответствующего уравнения затронут метод непосредственного выведения уравнения теплопроводности от частичного прообраза уравнения Гельмгольца с последующим его сведением от уравнения Лапласа в электростатическом моделировании. В заключении приводиться само уравнение, граничные условия по указанной модели и эмпирические данные полученные при реализации модели.
Ключевые слова: электростатика и теория электромагнетизма, электропроводность, уравнение Лапласа, динамическое дифференциальное уравнение в частных производных.
Введение
Увеличение разнообразия имеющихся материалов с различными проводящими свойствами, переменной концентрацией свободных зарядов в них различного характера открывает большие возможности перед современной технической наукой. Среди числа подходящий под выше представленное определение попадают полупроводники с различной структурой, с использованием легирования на смежных материалах [1—2; 11]. Вместе с этим, существует также технология использования полупроводников для создания одноимённых элементов, где также может выступать кремний, с его примесями, среди которых может выступать чистый кристаллический кремний, смесь кремния и бора, кремния и фосфора, а также прочие комбинации полупроводников [2—4; 7—12; 15—16].
При использовании нескольких элементов типа p-n, n-p, p-n-p и n-p-n необходимо моделировать ситуацию, которая могла бы описывать выбранный случай при помощи соответствующих уравнений. На сегодняшний день активно применялись эмпирические работы в данном ключе [5—10; 12—16], в том числе с непосредственным использованием систем квантового моделирования, где учитываются эффекты туннелирования, частичного создания запутанных электронов и прочие квантовые эффекты, следующие из известных закономерностей [2; 7—11; 14—15]. Аналогичные работы осуществлялись ранее также в рамках исследований по CdTe-SiO2-Si [2—6; 8] о чём также упоминается в настоящем исследовании. Однако, в каждом из представленных случаев исследование не были исследованы аналитическим образом с применением соответствующих дифференциальных уравнений в частных производных [17—21].
Известный на данный момент математический аппарат является дискретным, что исключает возможность учёта всех необходимых параметров, благодаря чему образуется проблема, согласно которой могут быть неопределенны слепые зоны в том или ином случае, где анализируется отдельно взятое явление. Исходя из всех указанных утверждений настоящее явление является актуальным.
Материалы и методы исследования
В ходе исследования были использованы методы математического преобразования, формирования дифференциальных уравнений в частных производных, использования аналитического моделирования с переведением в аналитическую форму дискретных выражений. В качестве материалов исследования принят нынешний математический аппарат по исследованию соответствующих явлений, эмпирические и дискретные данные, полученные в ходе исследований анализируемого класса.
Исследование
Выведение дифференциального уравнения того или иного типа основывается на преобразовании имеющихся дискретных данных с использованием общей методологии смежного дифференциального уравнения. В данном случае необходимо выведение уравнения электропроводности под действием стороннего электромагнитного поля, для чего необходимо выведение уравнения электропроводности в первоначальной форме.
1. Уравнение электропроводности
Для этого применяется модель смежного уравнения – уравнения теплопроводности, для вывода которого используется трижды интегральная форма теплоёмкости (1) и дважды интегральная форма теплопроводности (2), для которых действует выражение (3).

Сформированное выражение (3) может быть сведено до формы уравнения теплопроводности в (4).

Исходя из преобразования (4) аналогичная формулировка может быть выведена для динамической формы уравнения электропроводности. Для этого используется преобразование изначально для формы электропроводности в дважды интегральной форме (5).

В данном случае изначально принимается динамическая характеристика, относительно электропроводности в силу того, что изначальная задача по определению динамическая, что делает выведенное выражение отличным от классической задачи электропроводности в статическом виде. Также в данном случае использовано преобразование лапласиана относительно оператора Набла и градиента, как это было использовано ранее в случае теплопроводности. Следующей стадией является определение электроёмкости (6) и приведение аналогичного выражения для суммы электроёмкости и электропроводности (7).

Таким образом было сформулировано дифференциальное уравнение в частных производных, описывающее явление электропроводности, которое может быть преобразован в последующем. Для явлений электромагнитного поля используется уравнение Пуассона для электростатического поля (8), которое будет оказывать влияние на уравнение (7) и поскольку каждый из функций описывает явление в векторном пространстве со своими единичными элементами, то по определению функционального анализа относительно них может быть использован метод векторного сложения (9), что также лишний раз подтверждается участием оператора Набла в (7) таким образом выведя результирующий вид функции относительно заданного явления, при чём каждый из функций в (9) является решением динамических дифференциальных уравнений в частных производных (7) и (8), соответственно.

При том, что в (8) под углом понимается взаимный угол взаимодействия между функциями-векторами. Для решения представленного уравнения необходимо использование метода Фурье разделения переменных для каждого из избранных случаев, что может быть представлено в расширенном виде, с учётом использования отдельно взятых функций. В реальном представлении указанное уравнение может быть использовано относительно описания электрического перехода в полупроводниковом элементе, построенный согласно слоям CdTe-SiO2-Si, в данном случае между теллуридом кадмия и кремнием будут находиться источники тока, куда направлено напряжение порядка 100—200 В. Также, имеется внешний источник поля, приближённый к слою CdTe, разделённый с слоем кремния посредством оксидной плёнки. Известны размерности каждого из слоёв (Табл. 1).

Таблица 1. Размерности слоёв полупроводникового элемента
В последующем необходимо обратить внимание на каждый из элементов слоя по отдельности для выведения соответствующих функций.
1. Теллурид кадмия
Первоначально для понимания типа полупроводника теллурида кадмия необходимо составление картины электронных оболочек каждого из элементов (10).

Из полученной картины наглядно видно, что кадмий, используемый в соединении, имеется 2 электрона на внешней оболочке, однако на внешней оболочке теллура, которым он легируется имеется 4 электрона, к тому же до заполнения внешней орбиты теллура не хватает 2 электронов относительно p-орбитали, благодаря чему всё соединение имеет 2 внешних электрона. В силу этого, в соединении имеется большое количество свободных электронов, общее число которых может быть вычислено через (11), в том числе в силу вычисляемого заряда.

Полученное выражение может быть использовано для уравнения Пуассона электростатики с электронной плотностью (12), но при этом, настоящее уравнение используется в трёхмерном пространстве, благодаря чему необходимо вычислить численность свободных электронов в каждой из проекций общей формы (13).

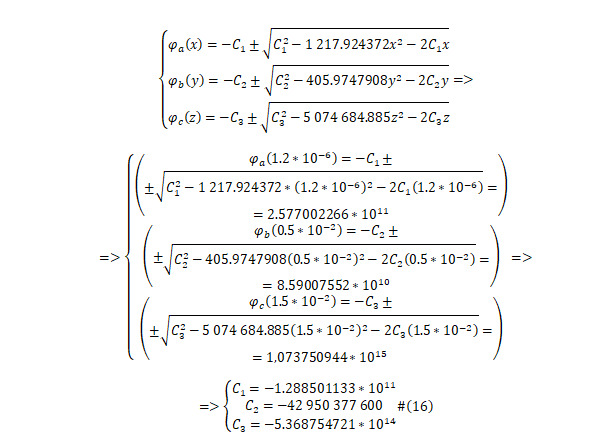
Значения зарядов относительно каждой плоскости могут перевести в значения потенциалов, согласно (14), откуда определяются потенциалы непосредственно в каждой из плоскостей, но для перевода полученных констант в вид функции необходимо использовать отдельно взятые электростатические уравнения Пуассона по каждому из измерений (15).

В результате образованные общие виды функции могут быть приведены к единичной форме, на момент, когда введённые три константы могут получить значения, используя заданные в (14) значения в качестве граничных условий в (16).

После подстановки значений независимых постоянных может быть сформирован результирующий вид функции относительно каждого из измерений (17).

Каждая из функций могут быть смоделированы в виде трёхмерной диаграммы, которая изменяет форму при различных значениях измерений, так в масштабе 10—2 и 10—3 относительно x, y или a, b они представляются в форме (Рис. 1—3), но на момент 10—5 и 10—6 в этой же форме аналитический вид представления потенциалов становиться дискретным (Рис. 4—6).

Рис. 1. Первый вид графика функции при (x, y) в масштабе 10—2, 10—3

Рис. 2. Второй вид графика функции при (y, z) в масштабе 10—2, 10—3

Рис. 3. Третий вид графика функции при (x, z) в масштабе 10—2, 10—3

Рис. 4. Первый вид графика функции при (x, y) в масштабе 10—5, 10—6

Рис. 5. Второй вид графика функции при (y, z) в масштабе 10—5, 10—6
Важным примечанием к трёхмерных графикам будет также важность определения именно закона, который они демонстрируют, в отличие от представляемых показателей в непосредственной форме. Таким образом были сформулированы граничные условия теллурида кадмия в различных масштабах.
3. Оксид кремния
Следующей стадией анализа будет аналогичное рассмотрение ситуации с кристаллическим кремнием. При создании полупроводникового элемента на момент контакта теллурида кадмия и кристаллического кремния переход электронов через слой оксида кремния позволяют устанавливать взаимодействие между элементами полупроводникового элемента, в том числе для направления дополнительного потенциала. Однако, для моделирования ситуации перехода, необходимо обратить внимание на электронную конфигурацию кристаллического кремния (18)

Из представленной формулировки наглядно видно, что на внешней орбитали не достаёт 4 электронов или имеется в наличии 4 дырки. Такое же моделирование может быть произведено относительно соединения оксида кремния (19).

В полученной молекуле оксида в силу того, что имеется 2 атома кислорода и единственный атом кремния, в установленном соединении имеется 2 дополнительные дырки, что превращает оксид кремния в положительный полупроводниковый элемент. В результате создаётся картина, где теллурид кадмия – элемент, насыщенный свободными электронами, оксид кремния – свободными дыркам и кристаллический кремний – вновь свободными электронами. Полученное соединение представляет полупроводниковый элемент вида n-p-n, где между каждым из элементов образуется взаимодействие.
На момент пуска тока через теллурид кадмия с одной стороны и кристаллического кремния с другой, на месте контакта слоёв создаётся обеднённый слой, на момент, когда свободные электроны теллурида кадмия насыщают первые слови оксида кремния с одной стороны и свободные электроны кристаллического кремния действуют на оксид аналогичным образом с другой стороны. Это создаёт 2 обеднённых слоя, широта которых изменяется в зависимости не только от подаваемого напряжения, но также от внешнего источника. Описываемый в данном случае переход может быть отображён согласно Рис. 7

Рис. 7. Схема перехода электронов между теллуридом кадмия, оксидом кремния и кристаллическим кремнием
Но для формирования единого закона, действующего относительно каждого из слоёв необходимо создание граничных условий, которые были на данный момент сформированы относительно теллурида кадмия, а для оксида кремния, исходя из аналогичного расчёта, могут быть представлены следующим образом.
Изначально, необходимо рассчитать общее число свободных дырок и их общий заряд (20).

Что аналогичным образом может быть сформулировано для электростатического уравнения Пуассона относительно этой модели (21), с последующим вычислением плотности дырок с представлением относительно каждой из плоскостей, а также дальнейшим вычислением дырок в каждом из плоскостей и аналогичным значением зарядов в этих же плоскостях исследуемого слоя (22).

Вычисленные значения зарядов могут быть сформированы в значения отдельно взятых потенциалов исходя из определения потенциала напряжённости поля (23).

Каждое сформированное значение при помощи подстановки в каждый из форм проекций функции потенциала в статическом поле, приводит посредством дальнейшего решения к общему виду уравнения в проекциях (24), каждая из которых может быть преобразована до уровня общего вида непосредственной функции (25).

Поскольку на данный момент известны размерности исследуемого слоя оксида кремния, а также представлены общие виды функций, открывается возможность подстановки результирующих значений и вычисление независимых переменных (26) с последующим созданием полного вида функции, которые могут описать оксид кремния с распространением потенциала в нём (27).

Сформулированные функции является трёхмерными и возможны к реализации посредством организации трёхмерных диаграмм относительно каждой проекции. Каждая из функций могут быть реализованы в 2 масштабах – относительно 10—3 и 10—2 единицы по x, y (Рис. 8—10) и 10—5 и 10—6 единицы относительно этих же переменных (Рис. 11—13), при этом обратив внимание, что при увеличении точности и уменьшении разности единиц трёхмерных график становиться более приближённый к дискретной формулировке, что также доказывает квантово-дискретную модель, к которой сводиться изначально аналитическое формирование.

Рис. 8. Первое представление потенциальной картины оксида кремния в масштабе 10—2 и 10—3 единицы x, y

Рис. 9. Второе представление потенциальной картины оксида кремния в масштабе 10—2 и 10—3 единицы x, y

Рис. 10. Третье представление потенциальной картины оксида кремния в масштабе 10—2 и 10—3 единицы x, y

Рис. 11. Первое представление потенциальной картины оксида кремния в масштабе 10—5 и 10—6 единицы x, y

Рис. 12. Второе представление потенциальной картины оксида кремния в масштабе 10—5 и 10—6 единицы x, y

Рис. 13. Третье представление потенциальной картины оксида кремния в масштабе 10—5 и 10—6 единицы x, y
В результате исследование оксида кремния привело к формулам, наряду с исследованием моментов контакта отдельно взятых атомов. Полученные функции относительно каждого измерения – базиса становятся граничными условиями для последующего моделирования задачи в масштабе всего уравнения электропроводности, выведенное изначально. Но для заключения общего вида всех граничных условий, необходимо проведение аналогичного исследования для кристаллического кремния – последнего слоя полупроводникового элемента.
1. Кристаллический кремний
Изучение свойств кристаллического кремния начинаются со стации формирования его электронной конфигурации, которая уже ранее была произведена в (18), откуда следует наличие дополнительных двух электронов на внешней орбите кремния, что делает полупроводник в виде кристаллического кремния насыщенным электронами. Для вычисления общего числа зарядов и общего заряда каждого из взятых зарядов могут быть вычислены в (29), что может также использоваться в организованном дифференциальном уравнении в частных производных – электростатическом уравнении Пуассона (30).

Исходя из полученных результатов плотность зарядов в общей плотности, а также относительно каждой проекции с числом зарядов и общим значением зарядов может быть вычислено в (31), что как было продемонстрировано в случае с оксидом кремния и теллуридом кадмия может быть преобразовано в форму потенциала (32).

Каждая из произведённых вычислений становятся граничными условиями в масштабе дальнейший вычислений. Так при учёте, что полученные значения являются общими показателями заряда в каждой из проекций слоя кристаллического кремния, то для выведения выражения функций по каждой из указанных проекций, возможно использование уравнения Пуассона относительно каждой проекции. При этом, это также формируется исходя из в дальнейшем сводящий выражений по объёму, что коррелируется при моделировании трёхмерных графиков. Так, на данный момент известные значения, создают следующую систему изначально обыкновенных дифференциальных уравнений второго порядка, затем в вид системы дважды интегральных уравнений и в результате выражения переходят в форму алгебраических уравнений (33).

По причине каждая из алгебраический уравнений представлены в виде общих форм, то функции могут быть выведены исходи из них в (34), при том, что каждый из них содержит независимые переменные, которые вычисляются в дальнейшем посредством использования в значений потенциалов по граничным показателям, вычисленные ранее в (32), приводя к уравнениям и их соответствующему решению относительно независимых переменных в каждом уравнении в (35).

Подстановка полученных значений независимых переменных приводит к переходу ранее выведенных форм общих функций (33) к результирующей форме в (36).

Каждая функция может быть смоделирована в трёхмерной форме, как это было сформулировано в предыдущих случаях, представляется в двух известных масштабах относительно переменных x, y – относительно 10—2, 10—3 (Рис. 14—16) и 10—5, 10—6 (Рис. 17—19).

Рис. 14. Первое представление потенциальной картины кристаллического кремния в масштабе 10—2 и 10—3 единицы x, y

Рис. 15. Второе представление потенциальной картины кристаллического кремния в масштабе 10—2 и 10—3 единицы x, y



