полная версияПолная версия
«Эротика глазами криминалиста (Юридическая теория порнографии)»
Чтобы не повторять их печальный опыт люди переходят от враждебного к уважительному отношению к сексуальности, избавляются от ложного стыда и страха, перестают стесняться своих сексуальных интересов. В новых условиях они действительно не стесняются сексуальности, однако это совсем не означает «долой стыд!», как это иногда кажется при вульгарном понимании пределов наступающих свобод.
Отнюдь! Понятие стыда, разврата в новых условиях не отменяется и не исчезает, а наполняется новым содержанием. Человеку становится не стыдно ощущать в себе присутствие сексуальной природы, обнаруживать наличие сексуальных интересов, стремиться в процессе всей жизни к их реализации путём общения с себе подобными людьми… Но в каких формах?.. Ничем не ограниченной свободы в жизни не бывает, поэтому и в новых условиях сексуальная жизнь общества должна быть упорядочена какими-то внешними социально обоснованными ограничениями.
Общим мерилом нормального, возможного и должного поведения человека при удовлетворении естественных потребностей является критерий культуры. Этот же критерий является общим измерением и для оценки культуры сексуального поведения.
При удовлетворении такой естественной потребности, как чувство пищевого голода, видим, что культурный прогресс здесь наблюдается в движении от пожирания пищи с помощью когтей и зубов к поеданию пищи с помощью ножа и вилки.
Взглянув на сексуальное поведение мужчин и женщин с высот исторической перспективы, можно заметить, что культурный прогресс здесь тоже наблюдается в движении от грубого, циничного, жестокого, агрессивного и властного поведения дикаря-владыки-варвара, которое можно выразить словами: увидел, возжелал, догнал и, повинуясь животной страсти, овладел; к тактичному, умному, вежливому, нежному, ласковому поведению галантного кавалера, который тоже предварительно увидел и возжелал ее или его. Но потом познакомился, оказал знаки внимания, добился расположения, дождался ответного желания и по взаимному согласию «занялся любовью» с объектом вожделения.
Заметим, во всех сферах человеческой жизни древние отношения типа «раб и властелин», «зверь и его жертва», постепенно меняются отношениями свободных, равноправных партнёров. В сексуальном поведении это тоже должно стать общепринятой нормой.
В целом половая жизнь человека сопровождается эротическими переживаниями, которые сами по себе являются глубоко положительными эмоциями. Возникают они при нежном, ласковом физическом воздействии на эрогенные зоны организма, либо при психологическом воздействии на сознание, что также вызывает адекватную реакцию (вербальное, визуальное, мысленное воздействие).
При болевом, грубом воздействии на эрогенные центры они перестают быть эрогенными и начинают работать как обыкновенные рецепторы, сигнализирующие об угрозе здоровью организма извне. Значит болевое воздействие на партнёра, в особенности при половом общении, является не желательным. Вообще грубость, цинизм, пошлость, агрессивность, жестокость, насилие как физического, так и психического характера – источники отрицательных эмоций. Они унижают человеческое достоинство, поэтому у нормально людей они должны вызывать негативную реакцию, моральное осуждение и отторжение.
Из сказанного выше мы можем сделать вывод, что в условиях демократии человеку не стыдно обнаруживать у себя наличие сексуальных интересов, не стыдно «любить» и «заниматься любовью» вообще… Стыдно делать это в грубых, циничных формах, в сочетании с агрессивностью, жестокостью, насилием. Стыдно любить сексуальные извращения и соответственно стремиться к реализации своих сексуальных интересов в сексуально-извращённых формах.
С этим теперь мы и можем связывать понятие разврата в сфере сексуальных отношений.
3.2. Понятие «развратные действия» для ст. 242 УК Р. Ф.
Выше мы уже отмечали, что всякое произведение начинается с предмета изучения или изображения. Предмет является объективным признаком любого произведения. Субъективным признаком всегда является цель, с которой автор обращается к изображению тех или иных событий окружающей действительности.
Следовательно, объективным признаком порнографии является её предмет изображения. На субъективную сторону указывает критерий цели.
Этимология термина прямо сообщает нам, что в порнографии предметом изображения являются «развратные действия» (от греч. «порнос» – развратник и «графо» – пишу).
В словаре русского языка Ожегова С. И. слово «разврат» определяется как «половая распущенность».
Из сказанного следует, что для написания юридического определения понятия «порнография» необходимо предварительно уточнить содержание понятия «развратные действия» специально для статьи 242 УК Р. Ф.
В юридической литературе понятием «развратные действия» принято обозначать аморальное и противоправное сексуальное поведение. В сексологии отклоняющееся от нормы сексуальное поведение обозначают словами «извращение» или «аномальное сексуальное поведение».
Из теории уголовного права известно, что задача уголовного законодательства состоит в том, чтобы, с одной стороны, охранять человеческое достоинство и нормальные общественные отношения, а с другой, – вытеснять и ликвидировать вредные общественные отношения.
В сфере сексуальных отношений задача уголовного законодательства также состоит в том, чтобы, с одной стороны, охранять нормальные, гармоничные сексуальные отношения, основанные на принципах законности, демократизма, равноправия, справедливости, гуманизма, и, с другой стороны, вытеснять и ликвидировать вредные, аморальные и противоправные сексуальные отношения, причиняющие вред интересам личности, общества, государства.
В настоящее время учёными описано и изучено множество сексуальных аномалий. Для уточнения понятия «развратные действия» предварительно составим список из отдельных видов сексуальных аномалий, имеющих юридическую значимость и статистически наиболее часто встречающихся в изображениях. Сюда относятся:
1) сексуальное насилие, 2) садомазохизм, 3) педофилия,
4) зоофилия, 5) копрофилия, 6) уролагния.
Второй список составим из статей, которые предусматривают административную либо уголовную ответственность за сексуальные правонарушения и характеризуют собой виды противоправного сексуального поведения.
В Кодексе об административных правонарушениях Р. Ф. есть статья 6.11. Занятие проституцией.
В Уголовном кодексе. Р. Ф. это:
Статья 131. Изнасилование.
Статья 132. Насильственные действия сексуального характера
Статья 133. Понуждение к действиям сексуального характера
Статья 134. Половое сношение и иные действия сексуального характера с лицом, не достигшим шестнадцатилетнего возраста
Статья 135. Развратные действия.
Статья 244. Надругательство над телами умерших и местами их захоронения
Данные статьи конкретно указывают: на вытеснение каких именно вредных сексуальных отношений направлена политическая воля государства.
Сравнивая списки из сексологических и юридических понятий можно заметить, что сексологическое понятие
«сексуальное насилие» своим объёмом охватывает такие юридические понятия как «изнасилование», «насильственные действия сексуального характера» и «понуждение к действиям сексуального характера» (ст. 131, 132, 133 УК РФ).
Понятие «педофилия» включает в себя изображение действий, изложенных в диспозициях статей 134 и 135 УК Р. Ф., которые фактически запрещают любые сексуальные действия с лицами, не достигшими 16-ти летнего возраста, включая их фотографирование в качестве сексуально значимых субъектов.
Понятие «некрофилия» в юридическом смысле означает «надругательство над телами умерших» (ст.244 УК РФ).
Из изложенного выше следует, что сексологические понятия «сексуальное насилие», «педофилия», «некрофилия» мы вправе использовать для характеристики понятия «противоправное сексуальное поведение».
Рассматривая сквозь призму светской гуманистической нравственности и человеческого достоинства остальные сексуальные аномалии: «садомазохизм», «зоофилию», «копрофилию», «уролагнию», неизбежно приходим к выводу, что их невозможно признать благом, добром. Ни общество, ни государство не могут их поощрять, развивать, рекламировать, так как они умаляют, унижают сексуальное достоинство личности. Значит, мы с полным основанием можем их квалифицировать как «аморальное сексуальное поведение», свидетельствующее об извращении поведенческих установок личности.
В совокупности перечисленные виды аморального и противоправного сексуального поведения образуют общее понятие «развратные действия» для статьи 242 УК РФ.
Далее, пользуясь логическим приёмом написания определения «через род и видовое отличие», выражаемое формулой А=Вс, где «А» – определяемое понятие, «Вс» – определяющее понятие («В» – род, «с» – на видовое отличие) и руководствуясь критерием общественной опасности, имеющим моральное и правовое обоснование, мы можем написать юридический вариант определения понятия порнография, пригодный для использования в судебной практике:
«Порнография (от греч. «порнос» – развратник и «графо» – пишу) – это вид эротических произведений, предметом изображения которых являются развратные действия, квалифицируемые как: сексуальное насилие, садомазохизм, педофилия, зоофилия, некрофилия, копрофилия, уролагния».
В данном определении слова «эротических произведений» указывают на родовой признак порнографии (В), который роднит её с эротикой в изображениях. Подробное перечисление статистически более часто встречающихся случаев изображения отдельных видов развратных действий указывает на признак видового отличия порнографии (с) от произведений пристойной эротики. Это делает определение достаточно ясным и понятным широкому кругу лиц.
Произведение в целом называется порнографическим, если оно полностью посвящено изображению одного или нескольких видов сексуальных извращений. Если в произведении имеются лишь отдельные сцены или эпизоды с изображением сексуальных аномалий, можно говорить лишь об отельных порнографических сценах или эпизодах.
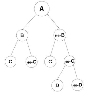
Написав определения понятий «эротика» и «порнография», мы раскрыли их содержание. Чтобы определить их объём и показать все предметы, которые в них мыслятся, необходимо воспользоваться приёмом, который в логике называется дихотомией.
Дихотомическое деление понятий «эротика» и «порнография» показано схемой (рис.-1).

Рис. – 1
На схеме видно, что понятие «эротика» (А) в целом состоит из двух понятий: из понятия «эротика», употребляемого применительно к жизни, к реальной действительности (В), и понятия «эротика», употребляемого применительно не к жизни, к изображениям (не-В). В зависимости от вида сексуального поведения человека эротика в жизни (В) делится на пристойное сексуальное поведение (С) и непристойное (аморальное и противоправное) сексуальное поведение (не-С), которое называется «развратные действия».
Все эротические изображения также делятся на пристойные (С) и непристойные эротические изображения (не-С), в зависимости от вида отображаемого в них сексуального поведения. Непристойные эротические произведения группы (не-С) называются порнографией (изображение развратных действий).
Юридическим основанием для дихотомического деления понятия «порнография» служит критерий цели, указывающий на идейную направленность произведения.
По идейной направленности, исходя из критерия цели, порнография делится на два вида: на допустимую к обращению в обществе порнографию категории (D), и не допустимую к обращению в обществе, криминальную порнографию категории (не-D). На этом дихотомическое деление понятий «эротика» и «порнография» заканчивается.
Характерной особенностью порнографии категории (D) является то, что её автор или издатель осуществляют изготовление или распространение порнографии ради достижения общественно полезной цели: ради изучения, разоблачения, осуждения, высмеивания развратных действий. Таким образом, порнография категории (D) наделяется общественно полезной функцией в отличие от порнографии категории (не-D), где автор или издатель пропагандирует, воспевает, рекламирует развратные действия, пытаясь выдать зло за добродетель.
Критерий цели указывает на наличие или отсутствие признака общественной опасности в порнографии той или иной категории.
Выше мы уже упоминали, что предмет изображения (сюжет) определяет название жанра. Именно по сюжету мы узнаём детектив, комедию, трагедию или батальную живопись. Также предмет изображения даёт название и жанру порнографии. Таким образом, слово «порнография» говорит нам о том, что это – название жанра.
Вместе с тем, ни жанр, ни стиль не являются объектами уголовно-правовой охраны. По этой причине мы не можем подвергать репрессиям произведения только потому, что они выполнены «не в том жанре» или «не в том стиле». Факт изображения развратных действий даёт основание называть произведение порнографическим, но не может служить основанием для его преследования.
Претензии правового характера мы можем предъявлять лишь такому виду порнографии, которая является носителем криминальной (крамольной) идеи.
В произведениях науки, искусства, ремесла, где предметом изображения являются «развратные действия», криминальной может считаться только такая идея, которую можно квалифицировать как «пропаганда развратных действий».
Далее становится понятно, что данная категория произведений может подвергаться репрессиям потому, что является носителем искажённой информации о норме сексуального поведения и служит орудием преступления, с помощью которого осуществляется информационное воздействие (путём агитации, пропаганды) на сознание неопределённого круга лиц, потребителей сексуальной информации.
Действуя на сознание, криминальная порнография может отрицательно влиять на убеждения человека. Она способна искажать нормальное и утверждать искажённое представление о норме сексуального поведения, и таким образом менять поведенческие установки личности в худшую сторону.
Вред объекту преступления (общественным сексуальным отношениям), которые регулируются нормами светской гуманистической нравственности и правовыми нормами, причиняется изменением надлежащего сексуального поведения субъектов сексуальных отношений.
Под влиянием криминальной порнографии, как особого вида преступного воздействия на субъект отношения, под угрозу ставится возможность реализации нормальных сексуальных отношений. Их осуществление либо затрудняется, либо аннулируется.
В результате, на месте нормальных отношений возникают вредные, развратные сексуальные отношения. В этом усматривается признак общественной опасности пропаганды развратных действий.
Следовательно, задачей ст. 242 УК РФ является пресечение пропаганды развратных действий.
Лицо, занимающееся производством и распространением произведений науки, искусства, ремесла, которые можно квалифицировать как пропаганду развратных действий, либо ясно сознаёт что, насаждая сексуальное инакомыслие, оно препятствует реализации политической воли государства по вытеснению и ликвидации развратных отношений, либо оно добросовестно заблуждается относительно качества распространяемой им сексуальной информации. С учётом данного обстоятельства было научно определено: ответственность по ст. 242 может наступать только при наличии у подозреваемого прямого умысла, квалифицирующего признака субъективной стороны данного вида преступлений.
Для правильной квалификации деяния в делах о порнографии мы предлагаем использовать новое в юридической науке и практике понятие криминальная порнография. Это позволит правоприменителям в своей практической деятельности различать общественно полезную и общественно опасную порнографию так же, как это они уже давно делают при квалификации деяний по изготовлению и распространению других запрещённых предметов, например, оружия.
Принято различать общественно полезное изготовление, ношение и распространение оружия (скажем, для охоты) и общественно опасное (для совершения преступления). Критерий цели здесь является решающим для возникновения или исключения уголовной ответственности.
Итак. Двигаясь от простого к сложному, следуя правилам логики и, исходя из морально-правовых критериев, мы написали юридический вариант определения понятия порнография, который перекликается с понятием «жесткой» и «запрещённой» порнографии в диссертационных работах Бушмина С. И. и Булгаковой О. А., и который согласуется с представлением о порнографии «в странах континентальной Европы».
Следует особо отметить, что понятие «развратные действия», используемое в отношении лиц, не достигших шестнадцатилетнего возраста в ст.135 УК Р. Ф., и понятие «развратные действия», которое мы предлагаем использовать применительно к взрослым гражданам для статьи 242 УК Р. Ф., существенно отличаются друг от друга по объёму.
Исходя из смысла статей 134 и 135 действующего УК Р. Ф., под понятие «развратные действия» фактически подпадают любые сексуальные действия, совершаемые лицами, достигшими восемнадцатилетнего возраста в отношении лиц, не достигших 16-ти летнего возраста. В статье 242 УК РФ понятие «развратные действия» значительно уже.
Им охватываются только такие сексуальные действия, которые можно квалифицировать как сексуальное насилие, садомазохизм, педофилия, зоофилия, некрофилия, копрофилия, уролагния. Следовательно, в дальнейшем правоприменителям необходимо чётко разграничивать понятие «развратные действия», применяемое в отношении взрослых граждан, и то же понятие, применяемое в отношении лиц, не достигших 16-ти лет.
Завершая разговор о «развратных действиях» необходимо уточнить, что когда речь идёт о лицах, не достигших шестнадцатилетнего возраста, любые действия, изложенные в диспозициях статей 134 и 135 УК Р. Ф., фактически являются развратными.
Отсюда само собой напрашивается решение объединить эти две статьи УК Р. Ф. под одним общим названием «Развратные действия в отношении лиц, не достигших шестнадцатилетнего возраста». Иначе получается, что законодатель признаёт развратными только такие действия в отношении лиц, не достигших шестнадцатилетнего возраста, которые изложены в статье 135 УК Р. Ф.
Кроме этого, после принятия и законодательного закрепления юридического определения понятия порнография, имеющего ясное указание на педофилию, исчезает необходимость в существовании статьи 242(1) УК Р. Ф. под названием «Изготовление и оборот материалов или предметов с порнографическим изображением несовершеннолетних».
При написании понятия развратные действия для ст. 242 УК РФ нами не случайно была оставлена без внимания ст. 6.11 (занятие проституцией) Кодекса Р. Ф. об административных правонарушениях. На наш взгляд, в современных условиях, в условиях господства светской гуманистической нрвственности, а не религиозной морали, проституцию невозможно признать развратным действием.
Мы считаем, что установление запрета на этот вид предпринимательской деятельности в новом российском законодательстве было ошибочным решением власти. Учитывая, что запрет до сих пор продолжает существовать, попробуем более основательно доказать справедливость нашей точки зрения.
И в статье 242 УК РФ, и в статье 6.11 определено, что деятельность, связанная с проституцией и порнографией причиняет вред общественной нравственности.
Поскольку законодатель сделал общественную нравственность объектом правовой охраны, но не раскрыл содержания этого понятия, возникла необходимость конкретнее разобраться, что оно само по себе значит и может ли общественная нравственность быть объектом правовой охраны?
3.3. О нравственности.
Для начала, чтобы избежать путаницы в понятиях, вспомним, что греческим словом «этика» принято назвать науку «о морали». А русским словом «нравственность», которое является синонимом латинского слова «мораль», принято называть предмет, изучаемый данной наукой. Следуя данному условию, рассмотрим понятие «общественная нравственность» более пристально в религиозном и гражданском понимании этого выражения.
Мораль отдельной личности.
Изучение феномена нравственности показывает, что в процессе становления и развития личности у каждого из нас формируется свой моральный кодекс. В установлении нравственных правил человек является предоставленным самому себе и своей совести. Эти правила основываются на свободном убеждении, которые каждый из нас должен обдумывать и формулировать самостоятельно. Понятно, что такого убеждения никто ни у кого заимствовать не может; даже внешним авторитетом норма морали не может быть установлена, потому что единственным авторитетом здесь является голос совести, живущий в глубине каждого из нас. Родители и воспитатели могут помочь в раскрытии и осмыслении своего голоса совести, но до признания и убеждения каждый из нас доходит сам. Это значит, что человек, слагая свои нравственные убеждения и устанавливая нормы морали, должен поставить перед своею совестью вопрос о том, что есть самое лучшее, совершенное и правдивое в личном поведении и в отношении человека к человеку. Затем, указания совести необходимо высказать в форме логического суждения, которое и выразит основную моральную норму поведения. Распространение этого правила на отдельные стороны внутренней и внешней жизни даёт возможность составить персональные нормы морали отдельно взятой личности. Эти нормы способствуют формированию поведенческих установо. При нарушении той или иной моральной нормы у нравственного, совестливого человека возникает «угрызение совести», благодаря которому он осознаёт чувство вины и ответственности за содеянное. Эти чувства побуждают человека загладить вину и в дальнейшем жить по совести.
Общественная нравственность.
Кроме морали отдельной личности существует мораль отдельных социальных групп, объединённых по профессиональным, политическим или религиозным мотивам: педагогическая, юридическая, медицинская этика, кодекс офицерской чести, политических партий, религиозная мораль. Так возникает понятие «общественная нравственность», которая рассматривается как выражение интересов различных групп населения и целых классов. Из этого следует, что мораль сама по себе, вне конкретно-исторического процесса и отдельно от его участников не существует. Поэтому, если мы встречаем где-то выражение «общественная нравственность» мы должны понимать, что за этим всегда стоит свод каких-то конкретных моральных правил, какого-то конкретного «общественного объединения», которые выражают совокупный субъективный интерес участников этого объединения. Особое влияние на жизнь общества оказывают нормы той «общественной нравственности», которая занимает господствующее положение в обществе.
Религиозная мораль.
Разновидностью общественной нравственности является религиозная мораль. В сознании верующих понятие «общественная нравственность» тесно связано с образом мифического персонажа, бога, который является носителем и выразителем абсолютного нравственного идеала. Нормы религиозной морали – это заповеди божьи, которые называются также законом божьим. В этих нормах выражена воля божья, поскольку установителем заповедей является сам бог. Отсюда убеждение верующих, что религиозная мораль во времени – вечна, по кругу лиц – распространяется на всех, в пространстве – действует везде и обязательна для исполнения всеми. В их понятии преступить закон божий – значит причинить богу моральный вред и тем самым «прогневить бога». А поскольку «гнев его ужасен», то страх оказаться перед лицом «гнева божия» за нарушение норм религиозной морали заставляет верующих исполнять предписания заповедей. Вообще вся вера держится на «страхе божием». В переводе с пуштунского языка слово «вера» так и означает, «страх». Поэтому исполнение норм религиозной морали обеспечивается тоже чувством страха, который церковь постоянно внушает своим прихожанам.
В царской России церковь не была отделена от государства. Христианство тогда было у нас государственной религией, поэтому христианская религиозная мораль занимала господствующее положение в обществе и была объектом правовой охраны.



