
Полная версия
Создание отдела продаж. Алгоритм и правила
Ваша ассортиментная политика определяет товарную линейку, соответствующую политике продаж компании. А клиентская политика содержит описание целевых рынков и профиль целевого потребителя, правила сегментирования клиентской базы и стандарты работы с клиентами разных категорий. Ваша ценовая политика включает прайс – лист для каждого канала продаж, систему скидок и полномочия сотрудников. Ваша кредитная политика содержит четкие правила и количественные критерии для работы с финансовой задолженностью и товарными запасами. Надеюсь, что у вас все именно так.
После разработки плана необходимых изменений подготовьте персонал к нововведениям, сделайте презентацию и сообщите правила изменений, закрепив их в приказах и распоряжениях. А для запуска новых процедур и процессов, проведите соответствующие тренинги аттестацию и дополнительное обучение сотрудников, чтобы разъяснить основные моменты. Для запуска новых процессов издайте распоряжения и приказы, в которых устанавливается порядок использования новых процедур и политик. Нововведения, обычно, сопровождаются сменой функциональных обязанностей и сопротивлением со стороны сотрудников. Поэтому, для стимуляции принятия новых процессов персоналом, создайте программу мотивации и критерии оценки качества выполнения процессов сотрудниками. После перехода компании на работу по-новому, нужно время, чтобы дать сотрудникам возможность усвоить новые знания, выработать необходимые навыки и выявить недоработки в процессах.
Определение степени соответствия функциональной структуры фактической организационной и управленческой структурам, а так же соответствие задачам развития продаж. Выявив проблемы системы продаж, определите способы их устранения. Для анализа модели продаж вам необходимо оценить ее составляющие. Функциональную структуру отделов продаж, соответствие должностных инструкций, регламентов и правил, системы оплаты труда задачам развития. Наличие инструментов продаж включающих технологию продаж, систему планирования, бюджеты продаж, систему контроля процессов и результатов (отчеты), средства автоматизации (CRM). Оценить регламенты бизнес процессов, способы и уровень централизации управления и делегирования полномочий. Анализируйте уровень мотивированности менеджеров продаж, их отношение к работе, качество взаимодействия сотрудников с подразделениями компании.
Планирование
– Семь раз отмерь, один раз отрежь, сказал бизнесмен, и отпилил сук, на котором сидел.
Анекдот, www.anekdot.ruЧто нужно для достижения целей, ведь планы нужны для этого?
Некоторые руководители отделов продаж работают без планов, что на мой взгляд, не возможно. Вы, все равно, будете иметь в виду план, который не формализован, то есть он не создан на бумаге или в электронном виде, но есть у вас в голове в виде идеи. Поэтому наличие плохого плана лучше, чем его отсутствие, я имею в виду формализованный план и желательно подробный.
Чтобы план был эффективен, нужно начать его выполнение, контролируя этапы и детали. Каждая задача, мероприятие или действие плана должны иметь ответственного сотрудника, иначе, выполнение план и достижение его целей, обречены на провал. Для плана должны быть определены бюджеты времени и финансирования, а план продаж должен финансировать компанию на каждом этапе ее развития. Новые планы не должны ущемлять другие планы развития, снижая доходы и количество сделок, они должны увеличивать доход компании. Создавая планы развития, ранжируйте задачи по степени важности и срочности, для достижения целей компании. Например, к категории «срочно и важно» относятся задачи связанные с персоналом (подбор, обучение), организации бизнес процессов, правила внутренних и внешних коммуникаций. Задачи категории «не срочно и важно» включают вопросы финансирования проектов, платежи поставщикам и сотрудникам.
В вашей компании существует система планирования, которая включает стратегический, среднесрочный и оперативный планы (приложение 6)?
Если у вас этого нет, считайте, что вы нашли одну из возможностей увеличения продаж. Некоторые руководители отвергают необходимость создания план продаж на год. Аргументом для них является «специфичная специфика» бизнеса, которая включает все от продукта до сезонных колебаний спроса. А что скажет владелец компании, который при таких условиях не понимает своих финансовых возможностей? Плохой план лучше, чем его отсутствие, потому что он дает возможность двигаться к цели, контролируя процесс.
Введите правило разработки бюджетов подразделений с периодом планирования не менее года, это облегчит вам оперативное планирование, контроль распределения ресурсов, поможет оптимизировать издержки и повысить точность прогнозирования контрольных значений.
Современный бизнес существует в эпоху постоянных и быстрых изменений, поэтому план нужно будет корректировать. Ваша оперативная реакция на новые возможности принесет вам финансовую выгоду.
Алгоритм создания планов включает оценку и прогноз развития ситуации на рынке и оценку возможности продаж продукта по количеству и выручке (в учетных и денежных единицах). Для подкрепления плана создайте бюджет продаж, определив суммы издержек на связь, транспорта, рекламу, фонд оплаты труда менеджеров, командировочные расходы и т. д.
План продаж разбейте по нескольким сечениям, это даст дополнительные элементы контроля процесса, повышая шансы выполнения плана: по времени, продуктам, клиентам, отделам, менеджерам, проектам, каналам продаж и т. д. Готовьте данные плана со стороны сотрудников отдела продаж и стороны коммерческого директора. Это позволит менеджерам воспринимать свою причастность к созданию плана, дополнительно стимулируя его выполнение. Внесите в план деление по продуктам, по обороту в денежных единицах и количеству проданных единиц товара. Вовлеките клиентов в этот процесс, для этого заранее запросите их прогноз закупок по номенклатуре. Примите во внимание особенности разных отделов, например корпоративный и оптовый отдел могут работать на одном ранке, для этого клиенты между ними должно быть четко разделены. Планируя объемы продаж по каждому менеджеру, введите определенный резерв, увеличив план отдела, на определенный процент, в зависимости от бизнеса (например, от 7 до 12%). Если ваш продукт подразумевает проектные продажи, которые являются длинными, включите проекты, как самостоятельный раздел плана продаж. Внесите в план деление по кана лам продаж: прямые продажи, дилеры, агенты и так далее, в зависимости от специфики и модели продаж, принятой в компании. Количество сечений ограничено вашим бизнесом, но оно должно быть разумным. Сечения в системе планирования это инструмент контроля и своевременного воздействия на проблемные точки (приложение 7).
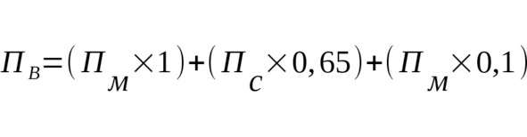
Введите систему прогнозирования, когда менеджеры продаж ежемесячно делают прогноз продаж на следующий месяц и квартал (приложение 8). Основой такого планирования является прогноз с ранжированием сделок по вероятности их заключения. При таком способе прогнозирования, каждую сделку необходимо ранжировать, определив принадлежность к одной из категорий: минимального риска, ожидаемого и малой вероятности. Для каждой категории определите вероятность сделки. Суммируя сделки по категориям, установите значение вероятности покупки для каждой группы. Например, сумма сделок минимального риска (с высокой вероятностью) – учитываются с вероятностью 100%, среднего риска (со средней вероятностью) – 50 – 75%, а сделки высокого риска (с малой вероятностью) – 5 – 15%. Взвешенный консолидированный прогноз определяется как сумма произведений объемов суммарных сделок и соответствующих коэффициентов вероятности:

Формула 1. Определение прогноза продаж.
где
ПВ – взвешенный консолидированный прогноз, руб.
ПМ – сумма сделок минимального риска, руб.
ПС – сумма сделок среднего риска, руб.
ПМ – сумма сделок минимального риска, руб.
Обсуждение прогноза продаж дает возможность увеличить прозрачность расчетов, помогает в планировании и является элементом стимулирования менеджера. На этапе внедрения прогноза, объясните менеджеру его личные выгоды от этого элемента и обязательно внесите эту задачу в функциональные обязанности. Обучите менеджеров ранжированию клиентов в CRM на основе статусов в воронке продаж. Это даст вам четкую картину и понимание этапа продаж по каждому клиенту. Планирование и контроль коммерческих показателей (приложение 9), зависит от вида вашего бизнеса, особенностей продукта, географии продаж, задач компании и так далее.
Контроль продаж
11 января, 11:00 часов офисная дверь открывается с грохотом от пинка, входит мужчина в строгом деловом костюме.
– В интернетах сидите, однокласите и контактите, бездельники, а план продаж дядя Пушкин будет выполнять? Всем припасть к телефону и продавать, иначе всех уволю. Если буду нужен – я уехал на встречу а вечером жду у себя начальника отдела продаж с докладом.
Конец ознакомительного фрагмента.
Текст предоставлен ООО «Литрес».
Прочитайте эту книгу целиком, купив полную легальную версию на Литрес.
Безопасно оплатить книгу можно банковской картой Visa, MasterCard, Maestro, со счета мобильного телефона, с платежного терминала, в салоне МТС или Связной, через PayPal, WebMoney, Яндекс.Деньги, QIWI Кошелек, бонусными картами или другим удобным Вам способом.



