
Полная версия
Общее землеведение
В.В. Докучаев (1846–1903) в монографии «Русский чернозем» и А.И. Воейков (1842–1916) в монографии «Климаты земного шара, в особенности России» на примере почв и климата вскрывают сложный механизм взаимодействия компонентов географической оболочки. В конце XIX в. Докучаев приходит к важнейшему теоретическому обобщению в общем землеведении – закону мировой географической зональности. Он считает зональность всеобщим законом природы, который распространяется на все компоненты природы (в том числе и неорганические), на равнины и горы, сушу и море.
В 1884 г. Д.Н. Анучин (1843–1923) организует в МГУ кафедру географии и этнографии. В 1887 г. кафедру географии открывают в Петербургском университете, год спустя – в Казанском. Организатором кафедры географии в Харьковском университете в 1889 г. стал ученик Докучаева А.Н. Краснов (1862–1914), исследователь степей и зарубежных тропиков, создатель Батумского ботанического сада. В 1894 г. он стал первым в России доктором географии после публичной защиты диссертации. Краснов говорил о трех чертах научного землеведения, отличающих его от старой географии:
✓ научное землеведение ставит задачей не описание разрозненных явлений природы, а отыскание взаимной связи и взаимной обусловленности между явлениями природы;
✓ научное землеведение интересует не внешняя сторона явлений природы, а их генезис;
✓ научное землеведение описывает не неизменную, статичную природу, а природу изменяющуюся, имеющую свою историю развития.
Краснов – автор первого русского учебника для университетов по общему землеведению. Во введении к «Основам землеведения» автор утверждает, что география изучает не отдельные явления и процессы, а их сочетания, географические комплексы – пустыни, степи, области вечных снегов и льдов и т. п. Такой взгляд на географию как науку о географических комплексах был новым в географической литературе.
Наиболее четко мысль о наружной оболочке Земли как объекте физической географии была высказана П.И. Броуновым (1852–1927). В предисловии к курсу «Общая физическая география» П.И. Броунов писал, что физическая география изучает современное устройство наружной земной оболочки, состоящей из четырех концентрических сферических оболочек: литосферы, атмосферы, гидросферы и биосферы. Все эти сферы проникают одна в другую, обусловливая своим взаимодействием наружный облик Земли и все происходящие на ней явления. Изучение этого взаимодействия – одна из важнейших задач физической географии, делающая ее вполне самостоятельной, отличной от геологии, метеорологии и других родственных наук.
В 1932 г. Л.Л. Григорьев (1883–1968) выступает со статьей «Предмет и задачи физической географии», в которой говорится о том, что земная поверхность представляет собой качественно особую вертикальную физико-географическую зону или оболочку. Она характеризуется глубоким взаимопроникновением и активным взаимодействием литосферы, атмосферы и гидросферы, возникновением и развитием именно в ней органической жизни, наличием в ней сложного, но единого физико-географического процесса. Несколько лет спустя, в 1937 г., рассмотрению географической оболочки как объекта физической географии Григорьев посвящает специальную монографию. В его же работах нашел обоснование и один из основных методов исследования ГО – балансовый метод, учитывающий в первую очередь радиационный баланс, баланс тепла и влаги.
В эти же годы Л.C. Бергом (1876–1950) закладывались основы учения о ландшафте и географических зонах. В конце 1940-х гг. предпринимались попытки противопоставить учения А.А. Григорьева о физико-географической оболочке и физико-географическом процессе и Л.С. Берга о ландшафтах. Единственно правильную позицию в развернувшейся дискуссии занял С.В. Калесник (1901–1977), показавший, что эти два направления не противоречат друг другу, а отражают разные стороны объекта физической географии – географической оболочки. Данная точка зрения нашла воплощение в фундаментальном труде Калесника «Основы общего землеведения» (1947, 1955). Работа во многом способствовала глубокому познанию географической оболочки как объекта физической географии.
Продолжающаяся дифференциация географии привела к детальным разработкам ее отдельных частей. Появились специальные исследования ледникового покрова и его палеогеографического значения (К.К. Марков), геофизического механизма дифференциации земной поверхности по географическим зонам и высотной поясности (М.И. Будыко), истории климата на фоне изменений географической оболочки в прошлом (А.С. Монин), ландшафтных систем мира в их единстве и генетических различиях (А.Г. Исаченко), ландшафтной оболочки как части географической оболочки (Ф.Н. Мильков). В эти годы был установлен периодический закон географической зональности Григорьева – Будыко, выявлена огромная роль биоорганического вещества в формировании специфических геологических образований далекого прошлого (А.В. Сидоренко), появились новые направления географии – космическое землеведение, глобальная экология и т. д.
Начало современного этапа развития землеведения знаменуют 1980-е гг. Радио- и фотокосмические методы дают возможность дистанционного видения Земли и изучения динамических процессов, происходящих на ее поверхности. Стало доступным картографическое, математическое и физическое моделирование многих процессов, происходящих в географической оболочке. Особую роль играет системный подход, позволяющий рассматривать объекты природы как совокупность взаимодействующих компонентов, составляющих целостную географическую систему.
1.3. Основные методы исследований
Все разнообразие методов географических исследований сводится к трем категориям: общенаучные, междисциплинарные и специфические для данной науки (по Милькову, 1990).
Важнейшим общенаучным методом является материалистическая диалектика. Ее законы и основные положения о всеобщей связи явлений, единстве и борьбе противоположностей, переходе количественных изменений в качественные, отрицании отрицания составляют методологическую основу географии. С материалистической диалектикой связан и исторический метод. В физической географии исторический метод нашел свое выражение в палеогеографии. Общенаучное значение имеет системный подход к изучаемому объекту. Каждый объект рассматривается как сложное образование, состоящее из структурных частей, взаимодействующих друг с другом.
Междисциплинарные методы – общие для группы наук. В географии это математический, геохимический, геофизический методы и метод моделирования. Математический метод подразумевает использование для изучения объектов количественных характеристик, математической статистики. В последнее время широко применяется компьютерная обработка материалов. Это важный метод в географии, однако следует помнить, что творческая, думающая личность не должна ограничиваться лишь тестированием и запоминанием количественных характеристик. Геохимический и геофизический методы позволяют оценить потоки вещества и энергии в географической оболочке, круговороты, термический и водный режимы.
Ключевым понятием метода моделирования является модель – графическое изображение объекта, отражающее структуру и динамические связи, дающее программу дальнейших исследований. Широкую известность получили модели будущего состояния биосферы Н.Н. Моисеева.
Осознание системной организации географической оболочки привело к внедрению и признанию системного подхода как общенаучного междисциплинарного фундаментального принципа физической географии. Системный подход позволил выработать стройное представление об уровнях организации географической оболочки, ее структуре, взаимосвязях. Сформировалась четкая схема исследования компонентов географической оболочки с учетом их иерархичности и взаимосвязей. Кроме того, системный подход способствовал более быстрому проникновению в науку представлений, терминов и методов из математики, физики, биологии, экологии. Благодаря этому появились такие понятия, как целостность, упорядоченность, организация, устойчивость, саморегуляция, функционирование. В свою очередь, это дало толчок к изучению природных процессов и выяснению их роли в формировании тех или иных свойств географической оболочки. Наконец, благодаря системному подходу ускорилось понимание того, что антропогенное воздействие приводит к формированию нового типа геосистем – природно-антропогенных и техногенных (геотехнических).
К специфическим методам в географии относятся сравнительно-описательный, экспедиционный, картографический, аэрокосмический, метод балансов.
Сравнительно-описательный метод, так же как и картографический, – самый старый метод в географии. А. Гумбольдт в «Картинах природы» писал, что сравнивать между собой отличительные особенности природы отдаленных стран и представлять результаты этих сравнений – благодарная задача географии. Сравнение выполняет ряд функций: определяет ареал сходных явлений, разграничивает сходные явления, делает незнакомое знакомым. Выражением сравнительно-описательного метода служат различного рода изолинии – изотермы, изогипсы, изобары и т. д. Без них невозможно представить ни одной отраслевой или комплексной научной дисциплины физико-географического цикла.
Наиболее полное и разностороннее применение сравнительно-описательный метод находит в страноведении.
Экспедиционный метод называют полевым. Полевой материал, собранный в экспедициях, составляет хлеб географии, ее фундамент, опираясь на который только и может развиваться теория.
Экспедиция как метод сбора полевого материала берет начало в античные времена. Геродот в середине V в. до н. э. совершил многолетнее путешествие, давшее ему необходимый материал по истории и природе посещенных стран. В своем девятитомном труде «История» он описал природу, население, религию многих стран (Вавилон, Малая Азия, Египет), привел данные о Черном море, Днепре, Доне. Далее следует эпоха Великих географических открытий – путешествия Колумба, Магеллана, Васко да Гамы и др.). В один ряд с ними следует поставить Великую Северную экспедицию в России (1733–1743), цель которой заключалась в исследовании Камчатки (изучена природа Камчатки, открыт северо-запад Северной Америки, описано побережье Северного Ледовитого океана, нанесена на карту крайняя северная точка Азии – мыс Челюскин). Глубокий след в истории отечественной географии оставили Академические экспедиции 1768–1774 гг. Они были комплексными, в их задачу входило описание природы, населения и хозяйства огромной территории – Европейской России, Урала, части Сибири.
Разновидностью полевых исследований являются географические стационары. Инициатива их создания принадлежит А.А. Григорьеву, первый стационар под его руководством был создан на Тянь-Шане. Широкой известностью пользуются географический стационар Государственного гидрологического института на Валдае, географический стационар МГУ.
Картографический метод заключается в использовании карт в целях получения сведений (качественных и количественных характеристик), изучения взаимосвязей и взаимозависимостей явлений, установления динамики и эволюции явлений, нанесения данных мониторинга. Изучение географических карт – необходимое условие для успешных полевых работ. В это время выявляются пробелы в данных, определяются районы комплексных исследований. Карты – конечный итог полевых работ, они отражают взаиморасположение и структуру изученных объектов, показывают их взаимосвязи. Однако картографическое изображение недостаточно раскрывает динамику явлений, что в настоящее время преодолевается применением цифровых методов картографирования и созданием геоинформационных систем (ГИС).
Аэрофотосъемка используется в географии с 1930-х гг., космические съемки появились сравнительно недавно. Они позволяют в комплексе, на больших территориях и с большой высоты оценить изучаемые объекты.
В основу метода балансов положен универсальный физический закон – закон сохранения вещества и энергии. Установив все возможные пути входа и выхода вещества и энергии и измерив потоки, исследователь по их разности может судить, произошло ли накопление в геосистеме этих субстанций или они расходованы ею. Балансовый метод используется в землеведении в качестве средства исследования энергетики, водного и солевого режимов, газового состава, биологического и других круговоротов.
Все географические исследования отличает специфический географический подход – фундаментальное представление о взаимосвязи и взаимообусловленности явлений, комплексный взгляд на природу. Он характеризуется территориальностью, глобальностью, историзмом.
Тема 2
Космические и планетарные факторы формирования географической оболочки
Географическая оболочка, сформировавшаяся на планете, испытывает со стороны космоса и недр Земли постоянное воздействие. Факторы ее формирования можно разделить на космические и планетарные. К космическим факторам относятся движение галактик, излучение звезд и Солнца, взаимодействие планет и спутников, воздействие небольших небесных тел (астероидов, комет, метеорных потоков), к планетарным – орбитальное движение и осевое вращение Земли, форма и размеры планеты, внутреннее строение Земли, геофизические поля.
2.1. Космические факторы
Космос (Вселенная) – весь существующий материальный мир (согласно определению в Советском энциклопедическом словаре; в европейских языках преимущественно используется латинский термин «универсум», тоже означающий все сущее). Он вечен во времени и бесконечен в пространстве, существует объективно, независимо от нашего сознания. Материя во Вселенной сосредоточена в звездах, планетах, астероидах, спутниках, кометах и других небесных телах; 98 % всей видимой массы сконцентрировано в звездах.
Во Вселенной небесные тела образуют системы различной сложности. Например, планета Земля со спутником Луной образует систему. Она входит в более крупную систему – Солнечную, образованную Солнцем и движущимися вокруг него небесными телами – планетами, астероидами, спутниками, кометами. Солнечная система, в свою очередь, является частью Галактики. Галактики образуют еще более сложные системы – скопления галактик. Самая грандиозная звездная система, состоящая из множества галактик, – Метагалактика, – доступная для человека часть Вселенной (видимая с помощью приборов). По современным представлениям, она имеет диаметр около 100 млн световых лет, возраст Вселенной около 15 млрд лет, в нее входит 1022 звезд.
Расстояния во Вселенной определяются такими величинами, как астрономическая единица и световой год.
Астрономическая единица – среднее расстояние от Земли до Солнца:
1 а.е. = 149 600 000 км.
Световой год – расстояние, которое свет проходит за год:
1 ев. год = 9,46 · 1012 км.
Звезды в Метагалактике образуют галактики (от др. – греч. galaktikos – млечный, молочный) – это большие звездные системы, в которых звезды связаны силами гравитации. Предположение о том, что звезды образуют галактики, высказал И. Кант в 1755 г.
Наша Галактика называется Млечный путь – грандиозное звездное скопление, видимое на ночном небе как туманная, молочная полоса. Млечный путь состоит из 200 млрд звезд и межзвездной среды. Размеры Галактики постоянно уточняются. В начале XX в. приняли следующие величины: диаметр галактического диска равен 100 тыс. ев. лет. толщина – около 1000 ев. лет. Основным химическим элементом в нашей Галактике является водород, 1/4 приходится на гелий. Расстояние от Солнечной системы до центра Галактики составляет 23–28 тыс. св. лет. Солнце находится на периферии Галактики. Для Земли это обстоятельство очень благоприятно: она расположена в относительно спокойной части Галактики и в течение миллиардов лет не испытывает влияния космических катаклизмов.
Солнечная система вращается вокруг центра Галактики со скоростью 200–220 км/с, совершая один оборот за 180–200 млн лет. За все время существования Земля облетела вокруг центра Галактики не больше 20 раз. На Земле 200 млн лет – продолжительность тектонического цикла. Это очень важный этап в жизни Земли, характеризующийся определенной последовательностью тектонических событий. Цикл начинается погружением земной коры, накоплением мощных толщ осадков, подводным вулканизмом. Далее усиливается тектоническая деятельность, возникают горы, меняются очертания материков, что, в свою очередь, вызывает изменение климата.
На 26-й Ассамблее Международного астрономического союза, которая состоялась в Праге в 2006 г., была утверждена классификация небесных тел, составляющих Солнечную систему. Теперь она выглядит так:
1. Классическая планета: это небесное тело, которое обращается вокруг Солнца, имеет достаточную массу, для того чтобы принять близкую к сферической форму, и очищает окрестности своей орбиты (т. е. рядом с планетой нет других сравнимых с ней тел). Планеты земной группы: Меркурий, Венера, Земля, Марс. Газовые гиганты: Юпитер, Сатурн, Уран, Нептун.
2. Карликовая планета: это небесное тело, которое обращается вокруг Солнца, имеет достаточную массу, для того чтобы принять близкую к сферической форму, не очищает окрестности своей орбиты и не является спутником планеты. К карликовым планетам предложено относить все планеты меньше Меркурия. В настоящее время в этот класс внесены Плутон, Эрида и самое крупное тело пояса астероидов – Церера.
3. Все остальные объекты, обращающиеся вокруг Солнца, охватываются понятием «малые тела Солнечной системы». Это астероиды, кометы и почти все транснептуновые объекты (небесные тела Солнечной системы, которые обращаются по орбите вокруг Солнца и у которых среднее расстояние до Солнца больше, чем у Нептуна (30 а.е.)).
Таким образом, Солнечная система состоит из центральной звезды – Солнца, восьми планет, более 60 спутников, более 40 000 астероидов и около 1000 000 комет.
Солнце – центральная звезда Солнечной системы. Это ближайшая к Земле звезда. Диаметр Солнца составляет 1,39 млн км, масса – 1,989 · 1030 кг. По спектральной классификации звезд Солнце является «желтым карликом» (класс G2V), возраст Солнца оценивается в 5–4,6 млрд лет. Солнце вращается вокруг своей оси против часовой стрелки, в том же направлении движутся вокруг него планеты. Основное вещество, образующее Солнце, – водород (71 % массы светила), на гелий приходится 27 %, на углерод, азот, кислород, металлы – 2 %.
Солнце излучает два основных потока энергии – электромагнитное (солнечная радиация) и корпускулярное (солнечный ветер) излучение. Тепловое поле поверхности планет Солнечной системы создается солнечной радиацией.
Электромагнитное излучение распространяется со скоростью света и за 8,4 мин достигает поверхности Земли. В спектре излучения выделяют невидимую ультрафиолетовую радиацию (около 7 %), видимую световую радиацию (47 %), невидимую инфракрасную радиацию (46 %). Доля самых коротких волн и радиоволн составляет менее 1 % излучения.
Корпускулярное излучение – поток заряженных частиц (электронов и протонов). Скорость его 1500–3000 км/с, он достигает магнитосферы за несколько суток. Магнитное поле Земли задерживает корпускулярное излучение, и заряженные частицы начинают двигаться по магнитным силовым линиям.
В пик солнечной активности поток заряженных частиц возрастает. Подходя к магнитосфере, он увеличивает ее напряженность, на Земле начинаются магнитные бури. В это время активизируются тектонические движения, начинаются извержения вулканов. В атмосфере возрастает количество атмосферных вихрей – циклонов, усиливаются грозы. Наиболее ярким и впечатляющим проявлением бомбардировки атмосферы солнечными частицами являются полярные сияния – свечение верхних слоев атмосферы, вызванное ионизацией газов.
Планеты расположены от Солнца в такой последовательности: Меркурий, Венера, Земля, Марс, Юпитер, Сатурн, Уран, Нептун. Все планеты имеют общие свойства и особенности. К общим можно отнести следующие:
✓ все планеты имеют шарообразную форму;
✓ все планеты вращаются вокруг Солнца в одном направлении против часовой стрелки для наблюдателя, смотрящего со стороны Северного полюса мира; это направление называется прямым, в таком же направлении движутся почти все спутники и астероиды;
✓ осевое вращение большинства планет происходит в том же направлении – против часовой стрелки, исключение составляют Венера и Уран, которые вращаются по часовой стрелке;
✓ орбиты большинства планет близки по форме к окружности, эксцентриситет (отношение расстояния между центром и фокусом эллипса к длине большой полуоси) их мал, поэтому планеты не подходят близко друг к другу, их гравитационное воздействие мало, что объясняется законами планетарных движений Кеплера;
✓ орбиты всех планет находятся примерно в одной плоскости эклиптики, причем каждая следующая планета примерно в два раза дальше от Солнца, чем предыдущая; эта закономерность описывается правилом, которое было установлено И.Д. Тициусом в 1766 г. и получило известность благодаря работам И.Э. Боде в 1772 г.
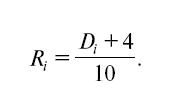
Правило Тициуса – Боде (известно также как закон Боде) представляет собой формулу, приблизительно описывающую расстояния между планетами Солнечной системы и Солнцем (средние радиусы орбит). Правило формулируется следующим образом: к каждому элементу последовательности Di = 0,3,6,12…. прибавляется 4, затем результат делится на 10. Полученное число считается радиусом в астрономических единицах. То есть

Последовательность Di – геометрическая прогрессия, кроме первого числа. То есть D_1 =0; Di = 3 · 2і, i ≥ 0.
Эту же формулу можно записать по-другому:
R_1 = 0,4, Ri = 0,4+ 0,3 · 2і.
Результаты вычислений приведены в табл. 1. Из таблицы видно, что правилу соответствует и пояс астероидов, тогда как Нептун, наоборот, выпадает из этой закономерности, причем его место странным образом занимает Плутон, который, по решению 26-й Ассамблеи Международного астрономического союза, планетой вообще не является.
Таблица 1
Расстояния между планетами Солнечной системы и Солнцем (средние радиусы орбит)


Планеты условно делятся на две большие группы: планеты земной группы и планеты-гиганты. К первой группе относятся Меркурий, Венера, Земля, Марс. Вторую группу образуют Юпитер, Сатурн, Уран, Нептун. Плутон по размерам и свойствам ближе к ледяным спутникам планет-гигантов.
Планеты земной группы отличает близкое расположение к Солнцу, небольшие размеры (радиус Меркурия равен 2440 км, Венеры – 6052, Земли – 6371, Марса – 3390 км), высокая плотность вещества (Меркурий – 5,42 г/см3, Венера – 5,25, Земля – 5,5, Марс – 3,95 г/см3). Основными их составляющими являются силикаты (соединения кремния) и железо, следовательно, планеты земной группы – твердые тела. Планеты медленно вращаются вокруг своей оси (у Меркурия период вращения равен 58,7 земных суток, у Венеры – 243, у Марса – немного больше суток), поэтому полярное сжатие этих планет незначительное, т. е. они имеют близкую к шару форму. Планеты земной группы обладают высокой скоростью орбитального движения (Меркурий – 48 км/с, Венера – 35, Марс – 24 км/с), имеют всего три спутника (Луна у Земли, Фобос и Деймос у Марса).
Планеты-гиганты расположены на большом расстоянии от Солнца, отличаются большими размерами (радиус Юпитера составляет 69 911 км, Сатурна – 58 232, Урана – 25 362, Нептуна – 24 624 км), но более низкой в сравнении с планетами земной группы плотностью (Юпитер – 1,3 г/см3, Сатурн – 0,69, Уран – 1,29, Нептун – 1,64 г/см3). Наиболее распространенными химическими элементами являются водород и гелий, следовательно, планеты-гиганты представляют собой газовые шары. Все планеты-гиганты с большой скоростью вращаются вокруг своей оси, период осевого вращения планет колеблется от 10 ч у Юпитера до 17 ч у Урана. Быстрое вращение планеты влечет большое полярное сжатие (у Сатурна – 1/10). Скорость орбитального вращения – небольшая (полный оборот вокруг Солнца Юпитер совершает за 11,86 года, а Нептун за 165 лет).






