
Полная версия
Универсум. Общая теория управления
Конечно, в части теоретических описаний ОЯП точность дуальных противопоставлений вполне обоснована и допустима. На практике же дуализм далеко не всегда оправдан, ведь иногда от хоть как-то теоретически обоснованных научных дихотомий о первичности категорий «Материализм-Идеализм» (Философия), «Генотип – Фенотип» (Психология), «Техническое – Гуманитарное» (Педагогика) и т. п. генерирует волюнтаристские гипотезы об ответственности одной спирали ДНК за телесное, а второй – за духовное развитие человека. А иногда современная наука доходит даже до совершенно анти/научных споров о первичности происхождения мужчин или женщин[10]. Более того, даже эволюционисты нисколько не сомневаются, что тело и мозг человека развивались совершенно независимо друг от друга!
В общем, метрологическая состоятельность системы MEST внушает серьёзные сомнения [27, 33]. Так, например, физическое описание универсума этой философской системы как полной единицы, даёт следующий результат:

(1.7)
Такой континуум с трудом поддаётся осмыслению и неприменим для адекватного описания каких-либо ОЯП. Единственно возможный «основной вопрос философии» при таком мироописании может быть только вопросом о главенстве одной их двух слабо связанных между собой альтернатив «материального» и «духовного» (рис. 1.3).
Именно потому, что двухполярная MEST-система мироописания «материальное – идеальное» трудно приложима к практическому моделированию ОЯП. Такой способ отражения реальности на практике часто выливается в ситуацию, описанную поговоркой «говорит (идея, информация) одно, а делает (материальный процесс) – другое». В сознании философа, искренне верящего в то, что «материя лишена духовной сущности»[11] вместо многоцветной градационной картины мира находится лишь её черно-белый слепок, который уже не в состоянии удовлетворить насущные потребности информационного общества.

Рис. 1.3. Универсум системы MEST и основной вопрос MEST-философии
Так, например, физикам весьма трудно ответить на вопрос, каким образом введённое в 1948 году Клодом Шенноном понятие «бит» связано с единицами СИ МКС. Для них есть система СИ МКС, существующая сама по себе, а есть понятие «бит» – явление, существующее тоже вполне самостоятельно. Они согласятся с тем, что эти вещи как-то (кое-как, наверное, может быть) связаны друг с другом, но вместе с тем признают, что «бит» – он всё же «сам по себе» и напрямую с системой СИ МКС не связан. В общем, нет у физиков в этом вопросе определённости и ясности.
Существует ли другая, более адекватная система предельно обобщённых философских категорий мироописания? Система, стержнем которой должен стать не столько количественный подход к оценке ОЯП, сколько качественный. Система эта должна быть целостной и непротиворечивой, но прежде, чем говорить о категориях этой системы, следует обратить внимание на основные и достаточно хорошо используемые на практике физические процессы мироздания. Ведь физика является вполне надёжной базой развития многих наук, в том числе и тех, которые берутся описывать личностные и социальные отношения.
1.3. Физические основы философских систем
Для того, чтобы ответить на вопрос об адекватности отражения окружающего мира различными философскими системами, следует обратить более пристальное внимание на картину мира, уже созданную в нашем сознании современной физикой, достигшей несомненных практических успехов. Как бы то ни было, но её формулы верны и подтверждены многолетней практикой. От физики и других естественных научных знаний всё равно уйти не удастся, поскольку рано или поздно, но неизбежно любой свежепридуманный, первоначально «размытый» гуманитарный термин упирается в тупик, требующий существенного сужения первоначальных смыслов. Ведь даже ныне признанные естественнонаучными технические понятия «масса», «ускорение», «сила»» и другие ранее относились к классу гуманитарных[12].
Обратим внимание на первоистоки физической системы MEST и попробуем связать её с более простым и понятным мироощущением человека. Чаще всего он производит расчёты в международной системе единиц СИ, в которой нас будет интересовать абсолютная система единиц МКС. Начнём с её базовых элементов (табл. 1.3)
Таблица 1.3

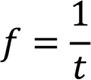
В первую очередь обратим внимание на то, что во многих физических формулах присутствует вышеупомянутая «единица», выражаемая числом 1, которое в виде произведения сомножителей или не пишется, или занимает позицию числителя дроби. Как уже отмечалось, число 1 в формулах является вариантом представления универсума, в произведении представляющим универсальное единство взаимосвязанных сомножителей и/или единство левой и правой частей дроби. Например, категория «время» («период») t однозначно связана с понятием «частота» f следующей известной формулой:

(1.8),
являющейся вариантом записи дихотомии универсумной формулы:

(1.9)
Универсумное представление соотношения (1.4) однозначно связывает частоту колебаний f [Гц] с их периодом t [c] обратной зависимостью. Обычное определение единиц МКС, того же t, для простоты можно назвать прямой (материальной) записью, а представление f в виде дроби (1.8) обратной. При этом универсумное описание базовых единиц системы МКС посредством прямой и обратной форм записи логично трансформируется в структуру записей симметричного вида (табл. 1.4).
Отметим, что входящие в универсум «период – частота» (строка 3) понятия имеют в физике вполне определённое, содержательное наполнение. Что же касается понятий, обратных «массе» и «длине» то, как и в философии, в физике о них практически ничего не говорится[13].
Включим в физическую картину мира недостающие звенья.
«Поле» – это величина, обратная материи (массе, строка 1). Если «масса» – это многое в одном (объединение АС в точке М), то «поле» – одно во многом (поле и/или его модель с центральной точкой разнонаправленных АС). Масса – это единая совокупность многих (минимум двух) «сжатых», статических объектов, выраженных в своей сути информационным понятием «материальная точка». Обратное понятие «поля» – это некая «разнокупность» одного материального, динамического объекта, реализованная во множестве (минимум в двух) информационных точках.
Массу характеризует достаточно стабильная мера плотности (статического, сжатого) вещества, а поле обратная мера – степень его «бестелесности» (динамики, распределённости). Суть поля сме́жна понятиям «изменение состояния», «событие», «перемещение», «явление» в фазе своей реализации, то есть – понятию «информация». Если масса может представить весь мир в одной точке («центре постоянства – массы»), то поле – любую точку, как субстанцию, связанную со всем миром («объёмом изменчивости – информацией»). Поскольку масса имеет своё особое обозначение – кг (kg), то и поле должно быть как-то обозначено, пусть это будет – ру (ru)[14].
Таблица 1.4

Величиной, обратной «Длине» (точнее – «отрезку пути») в пространстве, будет «Связь» (строка 2). Длина – это как бы «пустое» расстояние между двумя материальными точками. Связь – это отсутствие «пустоты», т. е. заполнение связующей материей расстояния между точками. Такую базовую, первородную связь можно назвать элементарной. Это – первичная до-информационная единица, имеющая два варианта перехода АС в два различных стабильных состояния. В электронной аналогии это фронт импульса как единство двух материальных состояний. Такой элементарной связи можно дать название «эл».
Прежде, чем начать анализ известных физических формул, отметим, что любая система расчётов включает какие-то «безразмерные» величины, количественные коэффициенты, пусть это будут взаимодополнительные кратность и масштаб (строка 4). Следует заметить, что «безразмерное» ещё не значит «не имеющее размерности». В своей сути это лишь отношения, сохраняющее размерность сравниваемых величин[15].
Если первые три строки таблицы (1–3) описывали базовые величины СИ МКС, то следующие три строки (5–7) представляют выше представленные в виде АС известные отношения между двумя базовыми единицами – длиной и периодом (пространством и временем).
Классическое понятие «Путь» – это та же «Длина» с определённым масштабом К отражающим, например, число единиц измерения. Обратное «длине» понятие «Связка» (строка 5), отражает обратную масштабу кратность С использования элементарной связи.
Продолжение дуальной аналогии для классических терминов физики «Скорость» и «Ускорение» приводит к появлению терминов «Поток» и «Информация» (строки 6 и 7). Важно обратить внимание на то, что в понятиях «ускорение» и «информация» появляется вторая степень категории «период» (Т-2 и Т2). Факт записи в производных[16] позволяет говорить о мгновенной скорости, т. е. об индикации движения материальной точки и о разрядности информационной точки, представленной битом – импульсом, ограниченным двумя фронтами. А ведь различение человеком окружающего мира основано на рецепции того, что находится в движении. Именно как ускорение, производную, разность, явленную между двух реляций материальной и информационной точек, мы ощущаем окружающий мир как «Материю» и «Информацию».
Мы живем в мире разностей: мы ощущаем только разности напряжений энергии между внешней средою и нашими органами чувств; мы наблюдаем, мы измеряем только разности между активностями и сопротивлениями [8].
Различие в том, что в производном понятии «Материя» обращается первостепенное внимание на сам объект, как таковой; а в понятии «Информация» делается акцент на полевых характеристиках объекта. Можно также заметить, что объекты, с точки зрения внешнего наблюдателя не меняющие своего состояния, например, «черные дыры», не обнаруживаемы рецепторами человека, что подтверждает тот факт, что для восприятия внешнего мира человеком важно не столько какое-то состояние объекта, сколько изменение этого состояния, дающее соответствующую изменению информацию. Чувствительность к величине этого изменения определяет степень различения или уровень распознавания факторов среды.
Наш мир есть вообще мир разностей; только разности напряжений энергии проявляются в действии, только эти разности имеют практическое значение. Там, где сталкиваются активности и сопротивления, практическая сумма, воплощенная в реальных результатах, зависит от способа сочетания тех и других; и для целого эта сумма увеличивается на той стороне, на которой соединение более стройно или «гармонично», заключает меньше «противоречий». Это и означает более высокую организованность [60].
Таким образом, с точки рецепции человеком масс (m) внешнего мира можно считать все «ускорения», в том числе и «микроускорения», и «макроускорения» проявлениями процесса движения (v), относящимися и к категории «Материя», и к категории «Информация». Ведь в базовой своей сущности и та, и другая категории не могут не носить, и реально носят именно дифференциальный характер, определяемый эталонной, начальной точкой отсчёта. Всеобщий закон сохранения материи М. В. Ломоносова, говорит именно об этом, как об импульсе движения.
Соглашусь с тем, что закон Ломоносова не несет в себе, как закон Всемирного тяготения И. Ньютона, вроде бы ничего математического и математически вроде бы не выражается. Но это вы видите математику в понятиях формальной, аристотелевской логики. Ломоносов своей формулировкой Всеобщего закона сохранения материи (вещества) и движения уже в те годы вышел на термины логики совершенно иного качества, которая несколько позднее введет в свою структуру понятия «множество» и др. Кстати сказать, математическую суть этого своего закона М. В. Ломоносов все-таки выразил вот таким, весьма, можно сказать, неоригинальным математическим способом: A(MV) = B(m1v1) + С(m2v2). Просто, скажете вы. Да, но именно простота удостоверяет в истинности. К этой простоте выражения данного закона в 1742 году придет немец Ю. Майер (1814–1878), в это же время – англичанин Дж. Джоуль (1818–1889), в 1847 году – немец Г. Гельмгольц (1821–1894) и в 1850 году – немец Р. Клаузиус (1822–1988) [63, 311].
«Информационные» колонки формул (5–7), дополняющие колонки формул СИ МКС (2–4), расширяют классические соотношения виртуальным «антимиром» информационных потоков в универсуме. Да, в современном научном лексиконе иногда используется термин «информационное поле Вселенной» и, действительно, понятие «информация» может появиться именно в «поле», как той субстанции, которая дополняет материальные компоненты Мироздания.
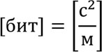
Что же касается современных компьютерных технологий, то, поскольку известно, что категория «информация» измеряется в «неких битах», возникает вопрос: состыкуется ли понятие «бит» с прямой и обратной записью физических величин и формул в системе МКС? Ответ: да, понятие «информация» дуально материальному понятию «ускорение».
Следующие строки таблицы (8–11) уже включают в состав известных классических формул понятие «массы». В универсумной системе описания «бит» (строка 7) – это вторичная информационная единица, разряд, состоящий из двух первичных информационных единиц (элементарных связей). Он имеет два состояния: «активно – не активно» («да – нет», «1–0» и т. д.). В простейшей электронной аналогии значения разряда «1» или «0» передаются двумя фронтами (переходом между двумя первичными состояниями) импульса – передним и задним.
Из обратного соотношения размерностей категории «Ускорение» и «Информация» размерность современной информационной единицы в системе СИ МКС составляет

(1.10)
Из этого далее следует, что при обратном пересчёте размерностей информационная единица «поток» (строка 6) соответствует известному понятию «битрейт» – скорости прохождения информации (количеству информации, передаваемому за единицу времени, измеряемому в бит/с).
Таким образом, понятие «скорость» материальной точки является обратным информационному понятию «поток», в более привычном наименовании звучащем как «битрейт». Аналогия очевидна.
Возникает вопрос: подтверждается ли адекватность обратной записи информационных формул для других известных физических понятий, включающих универсумную пару «материя – поле» и/или «материя (масса) – информация»?
Действительно, пока мы вполне обходились только двумя пространственно-временными категориями – «Длиной» и «Периодом» классической части описания системы МКС. Включив в следующую группу парных физических понятий «массу» и обратное ему понятие «поле», получим также вполне корректные и неожиданно интересные аналогии.
Материальное понятие «Импульс» соответствует информационному понятию «Пакет» (строка 8). Здесь информационный поток – набор битов приходится на определённый, ограниченный временной период.
Материальное понятие «Сила» соответствует информационному понятию «Файл» (строка 9). Здесь нет прямой привязки ко времени и скорости информационного потока, а определен просто целостный, связанный между собой набор битов.
Материальное понятие «Работа» соответствует информационному понятию «Трафик» (строка 10). Он может быть выражен как произведение «битрейта» на «пакеты», так и в более привычной битовой или аналогичной, например, «обратной Джоулю» размерности.
Следующее материальное понятие «Мощность» соответствует информационному понятию «Пропускная способность» (строка 11). Здесь необходимо учитывается временной фактор как произведение трафика на время его работы.
Можно утверждать, что все другие, не рассматриваемые здесь формулы физики, также имеют своих «информационных двойников». то есть, появляется надёжный «мостик» между адекватными реальности физическими формулами системы MEST и представлением любого универсума в виде соотношения «Материя (как распознавание человеком движения обладающей массой материальной точки») – Информация» (распознавание движения информационного потока).
Признание взаимодополнительности этих категорий позволяет получить определённую логическую последовательность иерархически расположенных, вытекающих друг из друга предельных философских категорий, описывающих Мироздание в виде дополняющих друг друга объединённых пар (рис. 1.4).
Континуум «Материя-Поле» представляет собой единство всего множества АС как категории «Движение»: от почти неподвижных тяжёлых, инерционных субстанций до максимально лёгких, динамичных элементов Мироздания.
Подавляющую часть этих субстанций человек, ограниченный узкими частотными диапазонами рецепции, видеть и ощущать не в состоянии, но его рецепторы, начиная с определённого порога чувствительности, в состоянии различать дифференциальные величины. Эти изменения, движения окружающего мира воспринимаются человеком как информация.
Здесь можно упомянуть связанную традиционной философией некорректность известной постановки задачи о создании некой «Единой теории поля». Такая постановка ничуть не хуже и не лучше идеи разработки «Единой теории материи» и говорит только о том, что следует разрабатывать не частные «единые» теории поля или материи, а одну, логически обоснованную (1.4) «Единую теорию Материи-Поля».
Континуум «Масса («Материя») – Информация» объединен понятием «Мера», определяющим внутреннее соотношение этих базовых понятий для любой наблюдаемой человеком субстанции окружающего мира. Мера не может быть ничем иным, как соотношением между двумя базовыми категориями философской системы, матрицей возможных форм взаимодействия материи и информации.

Рис. 1.4. Иерархия обобщённых философских категорий Мироздания
Дифференциальное восприятие мира, характерное для рецепторов живых существ, выливается у человека в мысленные представления о твёрдой «Материи» и существовании неких более «тонкоматериальных» (но материальных!) субстанций. В различных философских учениях эти субстанции именуются по разному, но с физической точки зрения они просто представляют экзотические вариации понятия «Информация».
Континуум «Качество-Количество» является субъективным представлением человека о комплексе материально-информационных характеристик (степенях фиксации) любых различаемых человеком ОЯП, причём качество делает акцент на определение различных соотношений их внутренних связей, а количество более учитывает внешние связи, составляющие рассматриваемый Универсум. Проще говоря, один универсум схож и/или отличается от другого своим внутренним содержанием.
Континуум «Пространство-Время» является субъективным представлением человека о комплексе материально-информационных характеристик (степенях свободы) различаемых человеком ОЯП, причём время делает акцент на определение различных соотношений их внутренних связей, а пространство более учитывает внешние связи, составляющие рассматриваемый Универсум. Этот континуум позволяет различать одну субстанцию от другой по разнице наблюдений в координатах субъективного пространства и времени. Этот континуум является основой для построения человеком причинно-следственных связей (ПСС), выражаемых в таких областях научного знания как астрономия, геометрия и др.
Физика объединяет все вышерассмотренные категории и в совокупности с другими областями знаний позволяет воспринимать и различать все видимые ОЯП Мироздания. Сравнение и последующая идентификация человеком наблюдаемых им субстанций производится именно на основании различного наполнения всего комплекса категорий «Качество», «Количество», «Пространство» и «Время», что позволяет ему сформировать ряд отличающихся друг от друга характеристиками образных и словесных понятий, которые отражают ощущаемую им совокупностью ОЯП окружающего мира.
Следует обратить внимание и на то, что философская система MEST признаёт существование в мире двух типов описаний ОЯП – аналогового и дискретного и принципиально противопоставляет эти описания друг другу. Согласно же современным научным воззрениям, материя дискретна, а аналоговые процессы описывают большие совокупности дискретных ОЯП. Существует математически обоснованная точка зрения, утверждающая, что весь окружающий мир можно представить как сложение различных форм синусоидальных сигналов. Отсюда закономерен вопрос о том, существует ли какая-либо связь между аналоговым (синусоидальным) и цифровым (импульсным) сигналом?

Рис. 1.5. Гармонические составляющие синусоидального сигнала
Как это ни странно, но для ответа на этот вопрос не требуется глубоких философских обобщений. Да, в системе MEST наличие такой связи проблематично: аналоговый сигнал – это непрерывный, плавный сигнал, цифровой же сигнал – прерывистый, импульсный, дискретный, но эта связь легко устанавливается математикой, давно использующей ряды Фурье, представляющего любой формы сигналы как совокупности ряда гармоник f1, f2, f3 и т. д. (рис. 1.5).
Посредством сложения гармоник синусоидального сигнала различной амплитуды, частоты и фазы можно получить сколь угодно сложный график, описывающий любую аналоговую кривую. Так, сложение первой и третьей гармоник f1 и f3 синусоиды с пропорционально уменьшающейся амплитудой даст первое приближение к импульсной форме сигнала (рис. 1.6).

Рис. 1.6. Сложение первой и третьей гармоник синусоидального сигнала
Сложение нечётных гармоник с первой по девятую с пропорционально уменьшающейся амплитудой даст ещё более точное приближение суммарного графика к импульсной форме сигнала (рис. 1.7).
Продолжение этого процесса на сложение бесконечного ряда нечётных гармоник даст идеальную прямоугольную форму, т. е. импульс (рис. 1.8). Таким образом, мера учёта гармонических составляющих способна плавно перевести аналоговый сигнал в цифровой.

Рис. 1.7. Сложение 1, 3, 5, 7 и 9-й гармоник синусоидального сигнала
Утверждение о том, что окружающий мир можно представить как сложение синусоидальных сигналов, имеющих различные амплитуды, частоты и фазы, находит своё математическое подтверждение, заставляя отказаться от противопоставления дискретных и аналоговых процессов.
Здесь мы нашли способ получения точного ответа на поставленный вопрос, но окружающий мир содержит множество других вопросов, на которые ответы ещё не найдены.

Рис. 1.8. Сигнал импульсной формы
Очевидно, что эти ответы трудно получить при использовании традиционной философской системы MEST, но возможно при использовании философской системы «Материя – Информация – меРа» (МИР) и построенной на её основе универсумной методологии [41].
1.4. Философская система МИР
В триединой философской системе МИР окружающая человека реальность едина и целостна, любое выделенное в нём множество ОЯП можно рассматривать как универсумный комплекс – единицу. Все процессы и явления в мире взаимосвязаны и реализуются в рамках матрицы возможных состояний, т. е. наделены меРой соотношения между двумя базовыми категориями Мироздания – Материей и Информацией[17]. В этой системе не бывает абстрактной материи без конкретных информационных характеристик, как не бывает и информации без материального носителя[18]. Система предельно обобщённых философских категорий МИР не противоречит современному пониманию устройства материальных частиц, как локализованного, замкнутого «само на себя» процесса движения, т. е. волнового, колебательного процесса. Такой подход полностью согласуется с возможностью представления любых процессов движения, например, в виде рядов Фурье, как бесконечного разнообразия вариантов суперпозиций колебаний различных частот, амплитуд и фаз.
Исходя из вышеприведённых и многих других утверждений, часто дискуссионных, современных точек зрения физиков и философов, мы можем согласиться с тем, что Мироздание – это Материя, способом существования которой является Движение (рис. 1.9а). Они не отделены друг от друга, а представляют взаимосвязанный процесс.
Если у протопопа Аввакума «Бог – все», то у М. В. Ломоносова «Материя – все». Но если у Аввакума «Бог» – это одновременно и «движение», то у М. В. Ломоносова движение – это одно из качеств его материи, ее неотъемлемое свойство, атрибут. В конечном итоге, мы можем сказать, что у М. В. Ломоносова: «Материя есть Движение», так же как «Движение есть Материя» (в определенном роде) [63, 361].




